новости бизнеса
компании и предприятия
нефтехимические компании
продукция / логистика
торговый центр
ChemIndex
новости науки
работа для химиков
химические выставки
лабораторное оборудование
химические реактивы
расширенный поиск
каталог ресурсов
электронный справочник
авторефераты
форум химиков
подписка / опросы
проекты / о нас


контакты
поиск
   

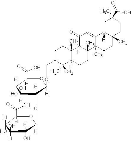
Электронный справочник : химические и физические свойства : глициризин


выберите первую букву в названии статьи: 1-9 А Б В Г Д Е Ж З И К Л М Н О П Р С Т У Ф Х Ц Ч Ш Щ Э Ю Я

глициризин
Синонимы:
глицирризиновая кислота
Внешний вид:
бесцветн. кристаллы Брутто-формула (система Хилла): C43H64O16 Молекулярная масса (в а.е.м.): 836,95866 Температура плавления (в °C): 225 Растворимость (в г/100 г или характеристика): вода: практически не растворим (0°C)
вода: растворим (100°C)
этанол: растворим
Дополнительное описание:
Сладость по отношению к 2% раствору сахарозы = 50-100
Природные и антропогенные источники: Корни кустарника Glycyrrhiza glabra, распространенного в Южной Европе и Средней Азии (до 23%).
Дополнительная информация:

Является гликозидом глицерретиновой кислоты. При кипячении с кислотами разлагается на глицерретиновую и глюкуроновую кислоты.

    Источники информации:
  1. Крутошикова А., Угер М. "Природные и синтетические сладкие вещества" М.:Мир, 1988 стр. 59-61
  2. Толстиков Г.А., Горяев М.И. "Глицирретовая кислота (химия и фармакология)" Алма-Ата: Наука, 1966 стр. 30-31



выберите первую букву в названии статьи: 1-9 А Б В Г Д Е Ж З И К Л М Н О П Р С Т У Ф Х Ц Ч Ш Щ Э Ю Я


Все новости



Новости компаний

Все новости


© ChemPort.Ru, MMII-MMXXIV
Контактная информация