новости бизнеса
компании и предприятия
нефтехимические компании
продукция / логистика
торговый центр
ChemIndex
новости науки
работа для химиков
химические выставки
лабораторное оборудование
химические реактивы
расширенный поиск
каталог ресурсов
электронный справочник
авторефераты
форум химиков
подписка / опросы
проекты / о нас


контакты
поиск
   

главная > справочник > химическая энциклопедия:

Алкидные смолы


выберите первую букву в названии статьи: А Б В Г Д Е Ж З И К Л М Н О П Р С Т У Ф Х Ц Ч Ш Щ Э Ю Я

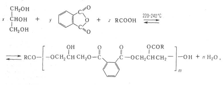
Алкидные смолы, продукты взаимодействия многоосновных карбоновых кислот, многоатомных спиртов (полиолов) и одноосновных высших жирных кислот. Многоосновные кислоты используют для синтеза алкидны[ смол обычно в виде ангидридов, высшие жирные кислоты - в виде индивидуальных соединений или в составе растит, масел (полных сложных эфиров этих кислот и глицерина-триглицеридов). Наиболее распространенные алкидные смолы получают из фталевого ангидрида и глицерина (глифталевые смолы), и пентаэритрита (пентафталевые смолы) или триметилолпропана, называемого также этриолом (этрифталевые смолы). Алкидные смолы, в состав которых входят остатки кислот высыхающих или полувысыхающих масел (например, льняного, тунгового, подсолнечного), называют высыхающими; алкидные смолы, содержащие остатки кислот невысыхающих масел (напр., касторового), относят к невысыхающим. По количеству остатков кислот (жирности) алкидные смолы подразделяют на сверхтощие (< 35%), тощие (35-45%), средние (46-55%), жирные (56-70%) и очень жирные (> 70%).

Алкидные смолы - высоковязкие липкие продукты от светло-желтого до коричневого цвета; мол. м. 1500-5000. Тощие смолы растворяются лишь в ароматических углеводородах (толуоле, ксилоле. сольвенте), жирные-в алифатических (например, уайт-спирите), смолы средней жирности-в смесях ароматических и алифатических углеводородов.

Применяют алкидные смолы в качестве пленкообразователей лакокрасочных материалов. Высыхающие смолы образуют покрытия в результате окислительно-полимеризационных процессов с участием ненасыщенных связей жирных кислот, невысыхающие - в результате улетучивания растворителя или(и) поликонденсации, в которой участвуют функциональные группы смолы и введенного в материал отвердителя.

Получение. Осн. реакция при получении алкидные смолы-конденсационных теломеризация (полиэтерификация), в которой высшая жирная кислота служит телогеном, например:

где R-алкил или алкенил, m 2.

В промышленности применяют два метода синтеза - жирнокислотный и алкоголизный. В первом случае исходят из свободной жирной кислоты, во втором из раститительного масла, которое сначала подвергают алкоголизу полиолом, а затем образовавшиеся неполные эфиры вводят в реакцию с фталевым ангидридом. При синтезе алкидные смолы на основе касторового масла (так называемых резиловых смол) алкоголиз масла не требуется, так как в полиэтерификацию с ангидридом вступают группы ОН остатков рицинолевой кислоты.

Катализаторы алкоголиза-РbО, CaO, Na2CO3 и другие, полиэтерификации - кислоты-реагенты; иногда дополнительно используют также минеральные кислоты или их соли и др. Реакция ускоряется и в присутствии 1-2% малеинового ангидрида, который образует аддукты Дильса - Альдера с жирными кислотами, содержащими сопряженные двойные связи. или присоединяется по метиленовым группам кислот с изолированными двойными связями. В последнем случае образуются трехосновные алкенилянтарные кислоты, повышающие среднюю функциональность системы, что ускоряет рост вязкости реакционной массы. Кроме того, малеиновый ангидрид, взаимодействуя с хромофорными группами масел и разрушая систему сопряжения в них, способствует получению более светлых алкидные смолы.

Алкидные смолы синтезируют в условиях, обеспечивающих получение продукта с кислотным числом в пределах 10-20, т.к. из-за присутствия в смоле большого числа свободных групп СООН может повышаться вязкость при хранении лакокрасочных материалов, содержащих пигменты основного характера. Образование смолы с низким кислотным числом достигается введением в исходную реакционную смесь избытка полиола.

Синтезируют алкидные смолы в основном по периодической схеме в реакторах с высокотемпературным обогревом. Распространены также полунепрерывные схемы с применением реакторов большой единичной мощности (32 м3 и более). Фталевый ангидрид применяют в виде гранул или расплава. в последнем случае может быть автоматизирована его загрузка и снижена общая продолжительность процесса.

В производстве алкидные смолы жирнокислотным методом все компоненты загружают одновременно; температура полиэтерификации 210-250°С. Достоинства метода: одностадийность; возможность получения пентафталевых смол. не содержащих остатков глицерина; однородность алкидные смолы и их светлая окраска, обусловленные сравнительно невысокими температурами синтеза; высокая стабильность процесса. Недостаток: необходимость предварительного расщепления раститительных масел, что сопровождается их потерями и требует применения специальной коррозионностойкой аппаратуры. В отечественной промышленности значительно шире применяют алкоголизный метод. Триглицерид реагирует с полиолом в расплаве при 240-260°С до образования продукта, растворимого в этаноле. Недостатки метода: двустадийность; плохая воспроизводимость, связанная с побочными реакциями при алкоголизе и с потерями полиола на этой стадии; присутствие в пента- и глифталевых смолах остатков глицерина.

Для удаления воды, образующейся при полиэтерификации, используют блочный или азеотропный способ. В первом случае в реакторе создают небольшой вакуум и барботируют через реакционную массу N2 или СО2, во втором - вводят в реактор ксилол (2-3% от реакционной массы), образующий с водой азеотропную смесь, которую отгоняют, охлаждают и разделяют: ксилол с растворенными в нем органическими веществами возвращают в реактор, а загрязненную воду удаляют. Преимущества азеотропного способа: меньшее количество сточных вод, значительно меньшие потери фталевого ангидрида, возможность получения более светлых алкидных смол. Однако повышенная пожароопасность, более дорогое аппаратурное оформление и трудность регулирования работы азеотропной системы обусловливают широкое использование блочного способа. Растворы алкидных смол (алкидные лаки) получают в смесителях, куда смола поступает из реактора самотеком под слой предварительно налитого растворителя. Лаки центрифугируют, фильтруют и иногда подвергают отстаиванию.

Способы модифицирования. Для этой цели применяют: 1) введение различных сомономеров при синтезе смолы; 2) взаимодействие готовых смол с модифицирующими веществами; 3) смешение смол с другими пленкообразователями (см. табл.). На стадии синтеза смол до 30% жирных кислот заменяют бензойной кислотой, кислотами канифоли, нафтеновыми кислотами и другими или вместо части фталевого ангидрида применяют диизоцианаты либо алкоксисилоксаны (синтез соотв. алкидно-уретановых, или уралкидных, и алкидно-силоксановых смол с участием групп ОН продукта алкоголиза или образующейся смолы). Готовые алкидные смолы (главным образом на основе тунгового или дегидратированного касторового масла. сополимеризуют по двойным связям жирных кислот с метакрилатами или стиролом в растворе в присутствии радикальных инициаторов. Возможна также прививка стирола по двойным связям введенного в состав смолы малеинового ангидрида.

ВЛИЯНИЕ МОДИФИЦИРОВАНИЯ НА СВОЙСТВА АЛКИДНЫХ СМОЛ И ОБРАЗУЕМЫХ ИМИ ПОКРЫТИЙ




выберите первую букву в названии статьи: А Б В Г Д Е Ж З И К Л М Н О П Р С Т У Ф Х Ц Ч Ш Щ Э Ю Я


Все новости



Новости компаний

Все новости


© ChemPort.Ru, MMII-MMXXIV
Контактная информация