новости бизнеса
компании и предприятия
нефтехимические компании
продукция / логистика
торговый центр
ChemIndex
новости науки
работа для химиков
химические выставки
лабораторное оборудование
химические реактивы
расширенный поиск
каталог ресурсов
электронный справочник
авторефераты
форум химиков
подписка / опросы
проекты / о нас


контакты
поиск
   

главная > справочник > химическая энциклопедия:

ДИУРЕТИЧЕСКИЕ СРЕДСТВА


выберите первую букву в названии статьи: А Б В Г Д Е Ж З И К Л М Н О П Р С Т У Ф Х Ц Ч Ш Щ Э Ю Я

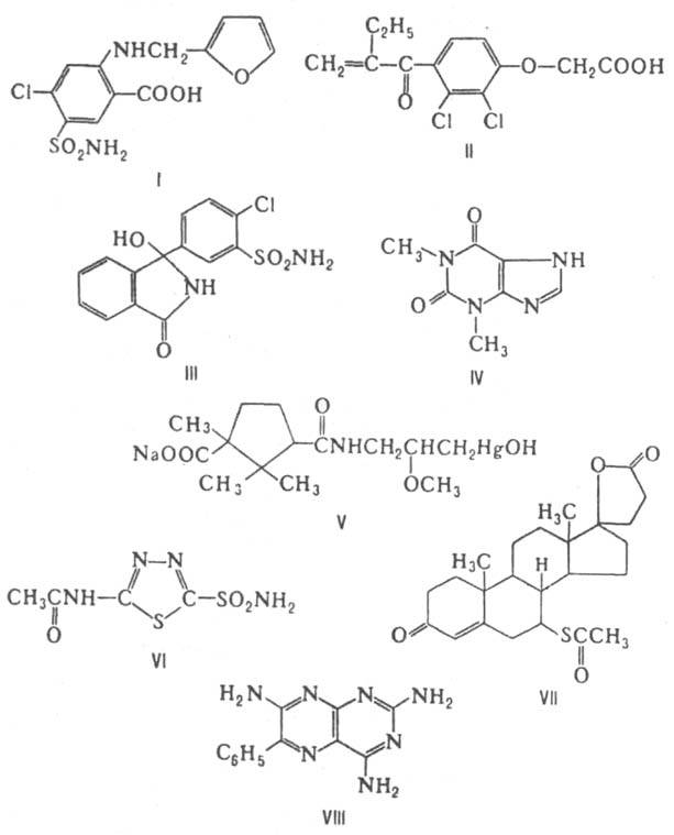
ДИУРЕТИЧЕСКИЕ СРЕДСТВА (от греч. diureo - выделяю мочу) (диуретики, мочегонные средства), лек. вещества, увеличивающие выделение почками мочи и уменьшающие содержание жидкости в организме человека. Действуют в осн. на структурную единицу почки - нефрон, уменьшая обратное всасывание (реабсорбцию) ионов Na+ в кровь. В результате увеличивается выделение из тканей ионов Na+, вместе с которыми выделяется больше воды. Уменьшая кол-во жидкости в тканях, диуретические средства улучшают кровообращение при отеках. Общепринятой классификации диуретические средства нет. Иногда в соответствии с особенностями вызываемых эффектов различают: 1) салуретики, усиливающие выделение из организма солей Na и К, ионов Сl- и т. п., - фуросемид (ф-ла I) и близкий к нему по структуре буметанид, этакриновая кислота (II), дихлотиазид. хлорталидон (III), теофиллин (IV) и теобромин (см. также Пуриновые алкалоиды), эуфиллин, представляющий собой смесь теофиллина с 1,2-этилендиамином, новурит (V), диакарб (VI) и др.; 2) калийсберегающие диуретические средства, отличающиеся способностью задерживать выделение ионов К+ из организма, - антагонисты альдостерона, например, спиронолактон (VII), производные аминоптеридина, в частности триамтерен (VIII); 3) осмотические диуретические средства, связывающие молекулы воды и повышающие осмотич. давление крови, препятствующие тем самым реабсорбции воды и ионов, - маннит и мочевина.

Лит.. Лебедев А. А., Диуретики и кровообращение, Куйбышев, 1976; Машковский М. Д., Лекарственные средства, т. 1, 10 изд., М., 1985, с. 476-507 А. А. Лебедев.




выберите первую букву в названии статьи: А Б В Г Д Е Ж З И К Л М Н О П Р С Т У Ф Х Ц Ч Ш Щ Э Ю Я


Все новости



Новости компаний

Все новости


© ChemPort.Ru, MMII-MMXXIV
Контактная информация