новости бизнеса
компании и предприятия
нефтехимические компании
продукция / логистика
торговый центр
ChemIndex
новости науки
работа для химиков
химические выставки
лабораторное оборудование
химические реактивы
расширенный поиск
каталог ресурсов
электронный справочник
авторефераты
форум химиков
подписка / опросы
проекты / о нас


контакты
поиск
   

главная > справочник > химическая энциклопедия:

ИЗОХИНОЛИНОВЫЕ АЛКАЛОИДЫ


выберите первую букву в названии статьи: А Б В Г Д Е Ж З И К Л М Н О П Р С Т У Ф Х Ц Ч Ш Щ Э Ю Я

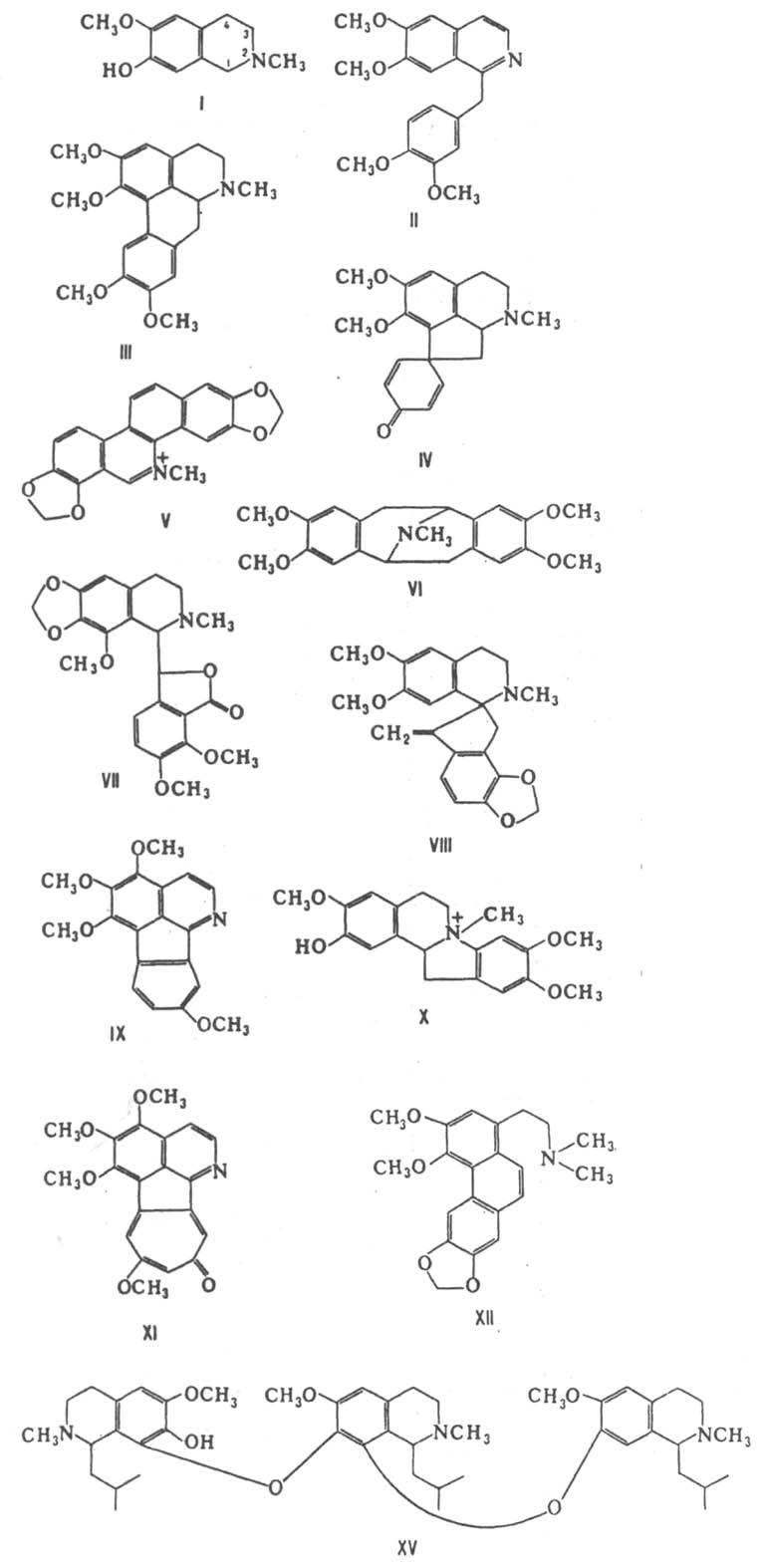
ИЗОХИНОЛИНОВЫЕ АЛКАЛОИДЫ, содержат в молекуле остатки 1,2,3,4-тетрагидроизохинолина, значительно реже - 3,4-дигидроизохинолина или изохинолина. Обнаружены в растениях 30 семейств. Наиб. богаты ими растения семейства анноновых (Annonaceae), барбарисовых (Berberidaceae), дымянковых (Fumariaceae), гернандиевых (Hernandiaceae), лавровых (Lauraceae), магнолиевых (Magnoliaceae), луносемянниковых (Menispermaceae), монимисвых (Monimiaceae), маковых (Papaveraceae), лютиковых (Ranunculaceae). изохинолиновые алкалоиды включают более 1000 представителей. изохинолиновые алкалоиды содержат от 10 до 42 атомов С. Выделяют след. основные группы алкалоидов: простые изохинолины (напр., корипаллин, ф-ла I), 1-бензилизохинолины (папаверин, II), апорфины (глауцин, III), проапорфины (пронуциферин, IV), протоберберины (берберин), бензофенантридины (сангвинарин, V), павины (аргемонин, VI), фталидизохинолины (наркотин, VII), спиробензилизохинолины (охотенсимин, VIII), 2-бензилтетрагидроизохинолины, 1-фенил- и 4-фенилтетрагидроизохинолины, азофлуорантены (руфесцин, IX), дибензопирроколины (криптаустолин, X), трополоизохинолины (имерубрин, XI). Фенантреновые основания (таликтуберин, XII), протопиновые основания (протопин, XIII) и аристолактамы (дорифлавин, XIV) не имеют изохинолиновой системы, но также относятся к изохинолиновые алкалоиды, с которыми биогенетически тесно связаны.

Среди изохинолиновые алкалоиды обнаружены димерные и тримерные основания, например, пилоцереин (XV). Наиб. многочисл. группы апорфинов и димерных оснований. Последние включают более 250 алкалоидов, образующихся в результате окислит. димеризации бензилизохинолинов (как, например, тетрандрин, XVI), бензилизохинолинов с апорфинами (таликарпин, XVII), проапорфинами, оксоапрофинами, а также апорфинов (бисапорфины), апорфинов с павинами (пенсилпавин, XVIII). Многообразие димерных алкалоидов обусловлено числом эфирных мостиков и их положением в молекуле. К изохинолиновые алкалоиды относятся также гликоалкалоиды, у которых агликон - апорфин или бензилизохинолин. Многие изохинолиновые алкалоиды синтезированы. В ряде случаев осуществлен взаимный переход между разл. типами алкалоидов. Наиб. значение имеют алкалоиды группы 1-бензилизохинолина (XIX) - предшественники в биосинтезе большинства изохинолиновые алкалоиды Соед. XIX образуется в растениях, конденсацией допамина (XX) и 3,4-дигидроксифенилпировиноградной кислоты (XXI), образующихся из тирозина. Многие изохинолиновые алкалоиды обладают противомикробной, спазмолитич., гипотензивной, желчегонной или противовоспалит. активностью. Ряд димерных оснований (напр., XVI и XVII) подавляют рост злокачеств. опухолей.

Некоторые изохинолиновые алкалоиды используют в медицине, например III - противокашлевый препарат, II - спазмолитик, (+)-тубокурарин - миорелаксант. Лит.: Shamma M., The isoquinoline alkaloids, N.Y., 1972; Shammа М., Moniot J.L., Isoquinoline alkaloids research 1972-1977, N.Y., 1978. C.X. Maex.


выберите первую букву в названии статьи: А Б В Г Д Е Ж З И К Л М Н О П Р С Т У Ф Х Ц Ч Ш Щ Э Ю Я


Все новости



Новости компаний

Все новости


© ChemPort.Ru, MMII-MMXXIV
Контактная информация