новости бизнеса
компании и предприятия
нефтехимические компании
продукция / логистика
торговый центр
ChemIndex
новости науки
работа для химиков
химические выставки
лабораторное оборудование
химические реактивы
расширенный поиск
каталог ресурсов
электронный справочник
авторефераты
форум химиков
подписка / опросы
проекты / о нас


контакты
поиск
   

главная > справочник > химическая энциклопедия:

Ионный обмен


выберите первую букву в названии статьи: А Б В Г Д Е Ж З И К Л М Н О П Р С Т У Ф Х Ц Ч Ш Щ Э Ю Я

Ионный обмен, обратимый процесс стехиометрического обмена ионами между двумя контактирующими фазами. Обычно одна из фаз раствор электролита, другая - ионит. Диссоциация ионогенной группы ионита дает ионную пару. «фиксированный ион» которой ковалентно связан с каркасом (матрицей) ионита, а «противоион» подвижен и может обмениваться на ионы одноименного заряда, поступающие из «внешнего» раствора. Благодаря эквивалентности обмена ионами обе фазы сохраняют электронейтральность в течение всего процесса. Принято рассматривать ионный обмен как гетерогенную химическую реакцию обмена и количественно характеризовать ее одной из трех констант равновесия К: концентрационной (не учитывает коэффициент активности компонентов); кажущейся (учитывает коэффициент активности только в растворе); термодинамической (учитывает коэффициент активности в растворе и фазе ионита). К определяют из уравнения Никольского:

K = (c1/a1)1/z1(a2/c2)1/z2

где c1 и с2 - концентрации или активности противоионов 1 и ионов 2 в равновесном растворе, a1 и а2 - концентрации или активности ионов 1 и 2 в равновесной фазе ионита, z1 и z2 - зарядовые числа ионов. Изменение термодинамического потенциала Гиббса в ходе ионного обмена подчиняется уравнению: DG = — RTlnK. В процессе ионного обмена меняется также объем сорбента Q, совершается работа А изотермического расширения (сжатия), причем A = pDQ, где p - осмотическое давление в фазе сорбента; поэтому суммарное значение DG = - RTlnK - pDQ. Однако в подавляющем большинстве случаев вторым членом уравнения можно пренебречь.

В простейшем случае ионный обмен система содержит два типа обменивающихся ионов и, следовательно, характеризуется четырьмя равновесными концентрациями (для каждого иона в растворе и в ионите). Все задачи решаются на основе системы четырех уравнений: баланса, изотермы ионный обмен, эквивалентности обмена и электронейтральности. Задачу нахождения К можно свести к экспериментальному определению равновесной концентрации с одного компонента в растворе. В случае обмена однозарядных ионов справедливо уравнение а = Ка0с/[с0 + (К — 1)с], где а - равновесная концентрация иона в фазе ионита, а0 - обменная емкость ионита, с0 - концентрация исходного раствора. Это уравнение иллюстрирует связь вида изотермы со значением К (рис. 1).

Рис. 1. Изотермы ионного обмена для систем с различными значениями констант равновесия (А0 - исходное кол-во вещества, m - масса раствора, v - объем раствора).

При расчетах обмена смесей ионов на практике исходят из предположения, что значения К для каждого из компонентов в индивидуальных растворах и в смеси тождественны. Это положение хорошо выполняется при сорбции микрокомпонентов на фоне макрокомпонента и в случае разбавление (до 0,1 н.) растворов любого состава.

Сорбируемость ионов возрастает с увеличением заряда иона, у ионов с равными зарядами - с уменьшением степени их гидратации. При расчетах равновесий ионный обмен необходимо учитывать степень ионизации функциональных групп ионитов и степень диссоциации кислот и оснований в растворах.

Во многих реальных ионообменных системах ионный обмен сопровождается побочными явлениями, в первую очередь комплексообразованием, переносом растворителя (воды), неэквивалентным обменом, окислительно-восстановительными реакциями. Значения К для сорбции на комплексообразующих сорбентах больше, чем К обычного ионный обмен При ионный обмен многих орг. ионов помимо их удерживания ионогенными функциональными группами сорбентов имеет место и дополнительные взаимодействия этих ионов с матрицей сорбента (межмолекулярные дисперсионные силы, водородная связь). Вследствие этого К для органического соединения часто на 1-2 порядка выше, чем для неорганических.

Поглощение воды ионитами сопровождается увеличением объема зерен и слоя сорбента и зависит от суммарного солесодержания раствора и степени сшивки ионита. При расчетах, учитывающих поглощение воды (растворителя), вода рассматривается как равноценный компонент ионообменной системы, а константа равновесия ионный обмен KW находится из уравнения:

где К - термодинамич. константа равновесия ионный обмен, aW и cW - активности воды в фазе сорбента и растворе, W - число молей воды, приходящееся на 1 эквивалент емкости ионита, - эквивалентная доля i-гo компонента в сорбенте. Неэквивалентный ионный обмен обусловлен проникновением необменивающихся катионов и анионов электролита в фазу ионита, а также взаимодействие не полностью диссоциированной многоосновной кислоты с функциональными группами анионита или многозарядных оснований с катионитом. Окислительно-восстановительные реакции для собственно ионообменных сорбентов обычно обусловлены низкомолекулярными примесями в них, удаляемыми предварительной обработкой сорбентов кислотами, щелочами, окислителями.

Кинетика. Процесс ионного обмена включает 5 последовательных стадий: перемещение сорбируемого иона к поверхности зерна сорбента (1) и внутри него (2), собственно ионный обмен (3), перемещение вытесняемого иона внутри зерна сорбента (4) и от его поверхности в растворе (5). Все стадии, кроме собственно хим. реакции обмена, носят диффузионный характер. Лимитирующую стадию определяют экспериментально: если это хим. реакция обмена, то скорость процесса не зависит от размера зерен сорбента; если внутренняя диффузия, то сорбция возрастает после перерывов в опыте (явление "отдыха"); если внешняя диффузия, то скорость поглощения зависит от интенсивности перемешивания в статических условиях или от скорости прохождения раствора в динамическом опыте. Расчеты диффузионных стадий базируются на законах Фика. Коэффициент диффузии определяют экспериментально, их значения для внеш. диффузии порядка 10-5 см2/с, для внутренней - от 10-6 до 10-11 см2/с. Коэффициент внутренней диффузии органических ионов на 1-2 порядка меньше, чем неорганических ионов. Особо крупные органические ионы (например, антибиотиков) не проникают во внутреннюю часть зерен малонабухающих (даже слабосшитых) сорбентов, в результате чего наблюдается состояние «ложного» равновесия. Поэтому для эффективной реализации таких процессов часто рекомендуют использовать так называемые поверхностно-слоистые сорбенты, в которых ионогенные группы расположены тонким слоем вблизи поверхности зерен. Уменьшение пути диффузии в результате уменьшения размера зерен (соответственно и межзернового пространства) приводит к резкому увеличению скорости ионного обмена. Вследствие малой энергии активации диффузии скорость ионный обмен мало зависит от температуры.

Динамика. Большинство ионообменных процессов проводится в динамических условиях - пропусканием раствора через неподвижный слой сорбента в периодических процессах или противоточным движением раствора и сорбента в непрерывных процессах (рис. 2). Преимущества динамического способа - глубокая очистка раствора от примесей (благодаря контакту со свежими порциями сорбента) и полное использование обменной емкости слоя (вследствие увода током раствора продуктов ионообменной реакции из сферы реакции).


Рис. 2. Схемы ионообменного умягчения воды (М = Са, Mg) на неподвижном слое сорбента (а) и в противотоке (б) с движущимися слоями сорбента (NaR, MR2) и потоками растворов (умягчаемая вода и регенерирующий раствор NaCl).

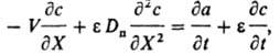
Для характеристики сорбционной способности ионита в динамических условиях используют уравнение Шилова: q = kX — t, где q - время защитного действия слоя сорбента, Х – длина слоя сорбента, k - коэффициент защитного действия слоя, зависящий от величины равновесной адсорбции, концентрации иона в растворе и скорости потока раствора, t - потеря времени защитного действия слоя. Все расчеты динамики ионный обмен базируются на решении системы уравнений для каждого компонента. Уравнение баланса имеет вид:


где V - линейная скорость потока раствора, e - порозность сорбента (объем межзернового пространства в долях от общего объема сорбента), Dп - коэффициент продольной диффузии, t - время от начала опыта до «проскока» - появления удаляемого компонента за слоем сорбента. Во многих случаях членами, отражающими продольную диффузию (за исключением стадии регенерации) и изменение концентрации в растворе, можно пренебречь. Тогда уравнение баланса принимает вид:


Применение. Процессы ионный обмен используют в аналитический химии и в промышленности. С помощью ионный обмен концентрируют следовые кол-ва определяемых веществ, определяют суммарное солесодержание растворов, удаляют мешающие анализу ионы, количественно разделяют компоненты сложных смесей. Ионный обмен применяют: для получения умягченной и обессоленной воды в тепловой и атомной энергетике, в электронной промышленности; в цветной металлургии - при комплексной гидрометаллургической переработке бедных руд цветных, редких и благородных металлов; в пищевой промышленности - в производстве сахара, при переработке гидролизатов; в медицинской промышленности - при получении антибиотиков и других лекарственных средств, а также во многих отраслях промышленности - для очистки сточных вод в целях организации оборотного водоснабжения и извлечения ценных компонентов, очистки воздуха. Разрабатываются ионообменные методы комплексного извлечения из океанской воды ценных микрокомпонентов.

Промышленные аппараты для реализации ионный обмен Подразделяются на 3 группы: установки типа смесителей-отстойников, фильтры с неподвижным и подвижным слоями сорбента. Аппараты первого типа используют в гидрометаллургии. В фильтрах с неподвижным слоем сорбента исходные и регенерационные растворы подаются в одном направлении (поточные схемы) или в противоположных (противоточные схемы). Такие аппараты используются для ионообменной очистки растворов, например, при умягчении и обессоливании воды. В непрерывно действующих противоточных аппаратах подвижный сорбент, как правило, перемещается сверху вниз под действием силы тяжести. Конструктивно противоточные аппараты подразделяются на 3 группы: со взвешенным или кипящим слоем ионита, с непрерывным движением плотного слоя, с попеременным движением раствора через неподвижный слой и перемещением слоя при прекращении движения раствора. Для разделения смесей близких по свойствам компонентов (например, изотопов) используют малопроизводительные, но эффективные аппараты с поочередным движением фаз и со сплошным слоем периодически выгружаемого сорбента. Технологическая схема ионного обмена включает: сорбцию извлекаемых или удаляемых элементов, взрыхление слоя ионита (током раствора снизу вверх), регенерацию ионита, промывку слоя ионита от регенерирующего раствора.

Лит.: Солдатов B. C., Простые ионообменные равновесия, Минск, 1972; Основы расчета и оптимизации ионообменных процессов, М., 1972; Либинсон Г. С., Сорбция органических соединений ионитами, М., 1979; Кокотов Ю. А., Иониты и ионный обмен, Л., 1980; Сенявин М. М., Ионный обмен в технологии и анализе неорганических веществ, М., 1980; его же, в сб.: Ионный обмен, М., 1981, с. 5-24; Горшков В. И., Сафонов М. С., Воскресенский Н. М., Ионный обмен в противоточных колоннах, М., 1981; Веницианов Е. В., Рубинштейн Р. Н., Динамика сорбции из жидких сред, М., 1983.

М. М. Сенявин.




выберите первую букву в названии статьи: А Б В Г Д Е Ж З И К Л М Н О П Р С Т У Ф Х Ц Ч Ш Щ Э Ю Я


Все новости



Новости компаний

Все новости


© ChemPort.Ru, MMII-MMXXIV
Контактная информация