новости бизнеса
компании и предприятия
нефтехимические компании
продукция / логистика
торговый центр
ChemIndex
новости науки
работа для химиков
химические выставки
лабораторное оборудование
химические реактивы
расширенный поиск
каталог ресурсов
электронный справочник
авторефераты
форум химиков
подписка / опросы
проекты / о нас


контакты
поиск
   

главная > справочник > химическая энциклопедия:

КОХА-ХААФА РЕАКЦИЯ


выберите первую букву в названии статьи: А Б В Г Д Е Ж З И К Л М Н О П Р С Т У Ф Х Ц Ч Ш Щ Э Ю Я

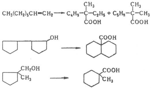
КОХА-ХААФА РЕАКЦИЯ, синтез третичных карбоновых кислот действием на карбениевые ионы монооксида углерода. получаемого "in situ" из муравьиной кислоты в конц. H2SO4:

Карбениевые ионы образуются в условиях реакции из олефинов, спиртов. алкилгалогенидов, эфиров, а также углеводородов. содержащих Н у третичного атома углерода. Р-ция протекает через образование промежут. оксокарбениевого иона (ф-ла I). В случае олефинов К.-Х. р. проводят обычно при 0-40°С, постепенно добавляя олефин к смеси НСООН и конц. H2SO4; реакц. смесь выливают на лед и отделяют кислоту. Выходы кислот определяются устойчивостью карбениевого иона и достигают 95%, например:

Р-ция, как правило, сопровождается перестройкой углеродного скелета, приводящей к образованию третичных кислот, например:

Искусственные приемы, позволяющие увеличить концентрацию СО (малая скорость перемешивания, добавление ССl4), приводят к образованию кислот с вторичными радикалами. К.-Х. р. имеет препаративное значение и особенно широко используется в ряду адамантана. Р-ция предложена Г. Кохом и В. Хаафом для олефинов в 1958. Лит.: Фальбе Ю., Синтезы на основе окиси углерода. М,, 1971, с. 127-51; HoubcnWcyl, Methodcn der Organischen Chcmic, 4 Aufl, Bd 5, Tl Ib, Stuttg, 1972, S. 1038; Peters J.A., Bekkum H. van, "Rec. Trav. Chim.", 1973, t. 92, № 3, p. 379 92. К. В. Вацуро.

KPAMA ПРАВИЛО, см. Асимметрический синтез.




выберите первую букву в названии статьи: А Б В Г Д Е Ж З И К Л М Н О П Р С Т У Ф Х Ц Ч Ш Щ Э Ю Я


Все новости



Новости компаний

Все новости


© ChemPort.Ru, MMII-MMXXIV
Контактная информация