новости бизнеса
компании и предприятия
нефтехимические компании
продукция / логистика
торговый центр
ChemIndex
новости науки
работа для химиков
химические выставки
лабораторное оборудование
химические реактивы
расширенный поиск
каталог ресурсов
электронный справочник
авторефераты
форум химиков
подписка / опросы
проекты / о нас


контакты
поиск
   

главная > справочник > химическая энциклопедия:

АНТИГЕМОРРАГИЧЕСКИЕ СРЕДСТВА


выберите первую букву в названии статьи: А Б В Г Д Е Ж З И К Л М Н О П Р С Т У Ф Х Ц Ч Ш Щ Э Ю Я

АНТИГЕМОРРАГИЧЕСКИЕ СРЕДСТВА (от греч. anti- -приставка, означающая противодействие, и haimorrha-gia - сильное кровотечение) (кровоостанавливающие средства, гемостатич. средства), способствуют остановке кровотечений при непосредств. контакте с кровоточащими тканями (антигеморрагические средства местного действия) или при поступлении в кровь (резорбтивные). Различают специфич. и неспецифич. антигеморрагические средства Первые устраняют нарушения гемостаза, который стал причиной кровоточивости; вторые останавливают кровотечения разл. происхождения.

К специфич. антигеморрагические средства местного действия относятся компоненты свертывающей системы крови-тромбин и тромбопластин, оказывающие прямое влияние на гемокоагуляцию. Эти вещества выделяют из плазмы крови человека. Используют также комбиниров. препараты, содержащие помимо кровоостанавливающих антисептические, обезболивающие и (или) др. ср-ва. Пример неспецифич. антигеморрагические средства местного действия - губка из нативной плазмы крови человека и тромбопластина.

Многие антигеморрагические средства резорбтивного действия способствуют остановке кровотечений косвенным путем, меняя ф-ции того или иного органа (ткани). наиб. распространенные влияют преим. на свертывание крови, фибринолиз, клеточный гемостаз, состояние стенки сосудов. Выделяют след. группы специфич. антигеморрагические средства резорбтивного действия.

1) Антагонисты гепарина. которые устраняют антикоагулянтное действие последнего. Практич. применение нашли препараты протамина, некоторые синтетич. полимеры, например полибрен (ф-ла I), убиквин (II), и основные красители (азур А, толуидиновый синий и др.). Эти вещества образуют с гепари-ном малодиссоциирующие соединения.

2) Препараты витамина К (производные 2-метил-1,4-наф-тохинона, наз. также витамином К3). Активность проявляют те соед. этой группы, молекулы которых содержат углеродную цепь в положении 3 нафтохинонового кольца. наиб. активные антигеморрагические средства-препараты витаминов K1 и К2. Используют также водорастворимые производные витамина К3, например викасол.

3) Ингибиторы фибринолиза-снижают фибринолитич. активность крови и тканей. По структуре и механизму действия различают: а) синтетич. карбоновые кислоты (в т.ч. аминокислоты), например аминокапроновая к-та, 4-аминометилбензойная кислота H2NCH2C6H4COOH, 4-аминометилциклогексанкарбоновая кислота H2NCH2C6H10COOH; эти кислоты влияют в большей степени на активаторы профибринолизина; б) ингибиторы протеаз прир. происхождения, например трасилол, пантрипин (получают из поджелудочной железы крупного рогатого скота); эти вещества главным образом тормозят действие уже активированного циркулирующего фибринолизина (плазмина).

4) Факторы свертывания крови, например протромбин.

5) Препараты глюкокортикоидов (гл. обр. гидрокортизона и кортизона).

6) Фибриноген, который применяют в сочетании с другими антигеморрагические средства

7) Соли Са (хлорид, глюконат, лактат), которые стимулируют гемокоагуляцию, индуцируют агрегацию тромбоцитов, уменьшают проницаемость сосудов.

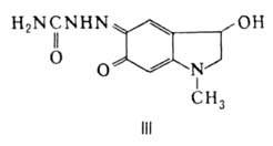
К неспецифич. антигеморрагические средства резорбтивного действия относят, в частности, этамзилат (2,5-дигидроксибензолсульфонат диэтиламмония), добезилат-кальций (2,5-дигидроксибензолсульфонат кальция) и серотонин [3-(2-аминоэтил)-5-гидроксииндол]. Первые два соед. понижают проницаемость и ломкость капилляров, активируют тромбоциты, уменьшают активность кининов и фермента гиа!уронидазы. Серотонин сужает сосуды, повышает агрегацию тромбоцитов, увеличивает стойкость капилляров. К неспецифич. антигеморрагические средства относятся также адроксон (III), биофлавоноиды(в частности, рутин и кверцетин), гемофобин (р-р пектинов в водном NaCl), желатин (продукт частичного гидролиза коллагена, содержащегося в хрящах и костях животных), препараты лагохилуса опьяняющего, крапивы двудомной, тысячелистника, водяного перца и др.

Лит.: Люсов В. А., Белоусов Ю. Б., Бок а ре в И. Н., Лечение тромбозов и геморрагии в клинике внутренних болезней, М., 1976; Грицюк А. И., Лекарственные средства и свертываемость крови. К., 1978; Актуальные проблемы гемостазиологии, под ред. Б. В. Петровского, Е. И. Чазова, С. В. Андреева, 2 изд., М., 1981. К.М.Лакин.




выберите первую букву в названии статьи: А Б В Г Д Е Ж З И К Л М Н О П Р С Т У Ф Х Ц Ч Ш Щ Э Ю Я


Все новости



Новости компаний

Все новости


© ChemPort.Ru, MMII-MMXXIV
Контактная информация