новости бизнеса
компании и предприятия
нефтехимические компании
продукция / логистика
торговый центр
ChemIndex
новости науки
работа для химиков
химические выставки
лабораторное оборудование
химические реактивы
расширенный поиск
каталог ресурсов
электронный справочник
авторефераты
форум химиков
подписка / опросы
проекты / о нас


контакты
поиск
   

главная > справочник > химическая энциклопедия:

ОКИСЛИТЕЛЬНО-ВОССТАНОВИТЕЛЬНЫЕ ИОНООБМЕННЫЕ СМОЛЫ


выберите первую букву в названии статьи: А Б В Г Д Е Ж З И К Л М Н О П Р С Т У Ф Х Ц Ч Ш Щ Э Ю Я

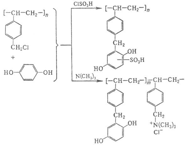
ОКИСЛИТЕЛЬНО-ВОССТАНОВИТЕЛЬНЫЕ ИОНООБМЕННЫЕ СМОЛЫ (редокс-иониты, электроноионообмен-ники), содержат группы, способные как к ионному обмену (подобно др. ионообменным смолам), так и к обратимому окислит.-восстановит. превращению в растворах окислит.-восстановит. систем. Указанные реакции могут протекать одновременно или независимо друг от друга. В зависимости от способа получения различают след. редокс-иониты (Р.-и.): синтетич., на основе ионообменных сорбентов и адсорбционные. В первых окислит.-восстановит. группа химически (необратимо) связана с полимерной матрицей (каркасом) смолы. Наиб. известны синтетические Р.-и. полимеризац. типа на основе сополимера стирола с дивинилбензолом. их получают арилированием хлорметилир. сополимера гидрохиноном. бензохиноном. диметоксибензолом или их производными с послед. сульфированием или аминированием (введение соотв. катионо- или анионообменных групп), например:


Из синтетических Р.-и. поликонденсац. типа наиб. распространены гидрохинон-фенол-формальдегидные; получены Р.-и. из фенола. формальдегида и многоядерных ароматич. дигидроксисоед., а также др. Недостатки этих Р.-и. -пониж. термостойкость и невысокие кинетич. характеристики из-за нерегулярности структуры.

Р.-и. на основе ионообменных сорбентов получают обработкой последних растворами солей переходных металлов или орг. соединений, обладающих окислит.-восстановит, свойствами; например, катиониты насыщают ионами Fe2+, Sn2+, Ce3+, Ti3 + , Cu + , Cr3 + , метиленовым синим, метилвиолетом, фуксином. аниониты - , , тимолфталеином, гидрохиноном. дигидрохло-ранилом. Ионы, участвующие в окислит.-восстановит. превращениях, связаны с полимерной матрицей ионными или координац. связями. Существ. недостаток таких Р.-и.-переход этих ионов в раствор вследствие гидролиза.

Наиб. практич. значение имеют адсорбционные Р.-и., в которых редокс-соед. расположены в порах или на пов-сти ионообменного носителя (на практике - обычная ионообменная смола) и химически не связаны с ним. Синтез осуществляют в три стадии: 1) обработка катионита раствором соли переходного металла (на практике-соль Сu) для перевода в солевую форму, например:


2) восстановление поглощенного носителем иона до своб. металла, который остается в порах носителя:


3) замена щелочного металла в носителе на Н+ (т.е. перевод носителя в Н+ - форму):


Многократным повторением первых двух стадий можно получить Р.-и., обладающие высокой окислит.-восстановит. емкостью; последняя соответствует концентрации редокс-групп (мг-экв.), участвующих в обратимом обмене электронами с водным раствором, в 1 г сухого Р.-и. По мере окисления металла его ионы не переходят в раствор, а поглощаются Н+ формой носителя. Регенерирует такой Р.-и. по-следоват. обработкой щелочным агентом и кислотой (стадии 2 и 3).

Применяют преим. адсорбционные Р.-и. для подготовки воды в паросиловых энергетич. установках с целью одновременного удаления растворенного О2 и деионизации (либо умягчения), для удаления следов О2 из технол. воды, а также в медицине, биохимии, аналит. химии и т.д.

Лит.: Кассиди Г. Дж., Кун К. А., Окислительно-восстановительные полимеры (Редоксполимеры), пер. с англ., Л., 1967; Кожевников А. В., Электроно-ионообменники, Л., 1972; Кравченко Т. А., Николаев Н. И., Кинетика и динамика процессов в редоксидах, М., 1982; Иониты в химической технологии, под ред. Б. П. Никольского и П. Г. Романкова, Л., 1982. В. Б. Каргман.




выберите первую букву в названии статьи: А Б В Г Д Е Ж З И К Л М Н О П Р С Т У Ф Х Ц Ч Ш Щ Э Ю Я


Все новости



Новости компаний

Все новости


© ChemPort.Ru, MMII-MMXXIV
Контактная информация