новости бизнеса
компании и предприятия
нефтехимические компании
продукция / логистика
торговый центр
ChemIndex
новости науки
работа для химиков
химические выставки
лабораторное оборудование
химические реактивы
расширенный поиск
каталог ресурсов
электронный справочник
авторефераты
форум химиков
подписка / опросы
проекты / о нас


контакты
поиск
   

главная > справочник > химическая энциклопедия:

ОСМИЙОРГАНИЧЕСКИЕ СОЕДИНЕНИЯ


выберите первую букву в названии статьи: А Б В Г Д Е Ж З И К Л М Н О П Р С Т У Ф Х Ц Ч Ш Щ Э Ю Я

ОСМИЙОРГАНИЧЕСКИЕ СОЕДИНЕНИЯ, содержат связь Os—C. Известны осмийорганические соединения для Os(0) и Os(II) с координац. числами 5 и 6. Связь Os с орг. лигандом осуществляется по - и -типу. осмийорганические соединения более устойчивы, чем соответствующие соед. Fe и Ru, что обусловлено большой прочностью связей Os—С и Os—Os. Большинство осмийорганические соединения синтезированы на основе OsO4, OsCl3, Os(CO)5, Os3(CO)12 и их производных.

Осн. методы синтеза О. с., содержащих -связь Os—С: взаимод. карбонилатов Os с алкилгалогенидами или алкил-сульфонатами либо галогенидов Os с RLi, R3Al; окислит. присоединение по связи С—Н, например:


Из др. методов получения -комплексов используют внедрение олефина по связи Os—Н, протонирование или мети-лирование формальдегидных и тиоформальдегидных комплексов, присоединение НСl к винилиденовым комплексам Os.

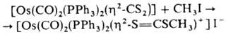
-Тио-, -селено- и -теллуроацильные, формильные, тио- и иминоформильные комплексы Os стабильны и хорошо охарактеризованы. Эти соед. м. б. получены окислит, присоединением альдегидов к соед. Оs(0) или алкилиро-ванием гетероалленов, например:



Используют также нуклеоф. атаку (напр., CH3MgBr) по СО-лиганду, присоединение SH-, SeH-, TeH- к хлоркар-беновым лигандам и присоединение S, Se, Те к карбиновым лигандам.

-Комплексы Os (олефиновые, диеновые, ацетиленовые) немногочисленны. К ним относят соед. типов: [Os(CO) (NO) (PPh3)2(L)] PF6 (L - алкен. алкин), [Os(CO)4( -алкен)], [Os(CO)3( -диен)], [Os( -диен)С6Н6], [Os(CO)2(PPh3)2( -алкин)]. Получают их обычно замещением галогенного, карбонильного и фосфи-нового лигандов. Олефиновые и диенкарбонильные комплексы можно получить также при УФ облучении Os3(CO)12 в присут. соответствующих непредельных соединений.

Аллильные и циклопентадиенильные осмийорганические соединения получают из галогенидов Os и аллильных и циклопентадиенильных производных непереходных металлов. например:


Осмоцен [Os(C5H5)2] значительно менее изучен, чем ферроцен и рутеноцен.

Ареновые комплексы Os получают восстановит. методами, например:

Хорошо изучены трехъядерные комплексы Os, в которых орг. лиганд связан с атомами Os многоцентровыми s- и p-связями. Структура таких комплексов аналогична подобным структурам для рутенийорганических соединений. В отличие от Ru я-лиганды в трехъядерных комплексах м. б. связаны и с одним атомом Os. Кластерные осмийорганические соединения с числом атомов Os 4 практически не изучены.

Специфич. особенность Os3(CO)12-образование кластеров с более высокой нуклеарностью, в частности карбидных, например:


Лит.. Методы элементоорганической химии. Кобальт, никель, платиновые металлы, под общ. ред. А. Н. Несмеянова и К. А. Кочешкова, М., 1978, с. 315; Comprehensive organometallic chemistry, v. 4, Oxf. [a. o.], 1982, p. 967 1064.

В. В. Кривых.




выберите первую букву в названии статьи: А Б В Г Д Е Ж З И К Л М Н О П Р С Т У Ф Х Ц Ч Ш Щ Э Ю Я


Все новости



Новости компаний

Все новости


© ChemPort.Ru, MMII-MMXXIV
Контактная информация