новости бизнеса
компании и предприятия
нефтехимические компании
продукция / логистика
торговый центр
ChemIndex
новости науки
работа для химиков
химические выставки
лабораторное оборудование
химические реактивы
расширенный поиск
каталог ресурсов
электронный справочник
авторефераты
форум химиков
подписка / опросы
проекты / о нас


контакты
поиск
   

главная > справочник > химическая энциклопедия:

АНТРАЦИКЛИНЫ


выберите первую букву в названии статьи: А Б В Г Д Е Ж З И К Л М Н О П Р С Т У Ф Х Ц Ч Ш Щ Э Ю Я

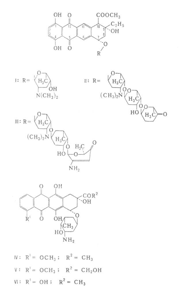
АНТРАЦИКЛИНЫ, антибиотики. представляющие собой гликозиды. в которых агликон (наз. антрациклиноном) - замещенный тетрагидронафтаценхинон. Заместителями служат: в гидроароматич. кольце - СООСН3, СОСН3, С2Н5, СН3, ОН (при С9 и С10), в ароматич. части - ОСН3 (обычно при С4) и ОН (при C1, С4, С6, С11). Чем больше гидроксильных групп в молекуле. тем сильнее батохромный сдвиг в спектре антибиотикантрациклины

антрациклины образуются актиномицетами в виде смеси неск. компонентов, молекулы которых содержат одинаковые агликоны, но разные углеводные цепи. антрациклины экстрагируют из культуральной жидкости и мицелия орг. растворителями. Так выделена большая группа антибиотиков, содержащих в кач-ве агликона е-пирромицинон, например пирромицин (ф-ла Г), цине-рубин антрациклины (II), рудольфомицин (III). Последние два антрациклины интересны тем, что содержат остатки ранее неизвестных Сахаров - соотв. цинерулезы и реднозы. Известны также антрациклины, в которых агликоном служит аклавинон, например аклациномицин А (в ф-ле II вместо ОН в положении 1 находится Н).

антрациклины - желтые или красные кристаллы; раств. в орг. растворителях. наиб. значение в медицине имеют рубомицин (дауномицин), доксорубицин (адриамицин) и карминомицин (см. табл.). Первые два продуцируются Streptomyces coeruleorubidus, последний - Actionomadura carminata. Для строения молекул этих антрациклины характерно наличие даунозамина (З-амино-2, 3, 6-тридезокси- L-ликсопиранозы). Получены сотни менее токсичных "полусинтетич." производных этих антибиотиков, которые, однако, по тем или иным причинам не используют в медицинской практике.

СВОЙСТВА АНТРАЦИКЛИНОВ

антрациклины угнетают грамполо-жит. бактерии и обладают противоопухолевой активностью. Механизм их действия связан с нарушением синтеза нуклеиновых кислот. антрациклины применяют для лечения злокачественных опухолей.

Лит.: БорисовВ. И. [и др.], "Антибиотики", 1976, т. 21, №11, с. 1026-30; Антрациклины в раковой химиотерапии. Симпозиум, М., 1981; Antracyclines. Current status and new developments, ed. by S. Crooke, S. Reich., N.Y.-[a.o.], 1980; Arcamone F., Doxorubicin. Anticancer antibiotics, N. Y., 1981 (Medicinal chemistry, v. 14). М.Г. Бражниковантрациклины




выберите первую букву в названии статьи: А Б В Г Д Е Ж З И К Л М Н О П Р С Т У Ф Х Ц Ч Ш Щ Э Ю Я


Все новости



Новости компаний

Все новости


© ChemPort.Ru, MMII-MMXXIV
Контактная информация