новости бизнеса
компании и предприятия
нефтехимические компании
продукция / логистика
торговый центр
ChemIndex
новости науки
работа для химиков
химические выставки
лабораторное оборудование
химические реактивы
расширенный поиск
каталог ресурсов
электронный справочник
авторефераты
форум химиков
подписка / опросы
проекты / о нас


контакты
поиск
   

главная > справочник > химическая энциклопедия:

Пиретроиды


выберите первую букву в названии статьи: А Б В Г Д Е Ж З И К Л М Н О П Р С Т У Ф Х Ц Ч Ш Щ Э Ю Я

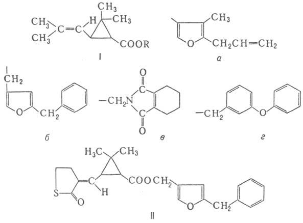
Пиретроиды, группа инсектицидов, синтетич. аналогов прир. пиретринов, к которой относят соед., сходные с ними по характеру и механизму физиол. действия, но иногда существенно различающиеся по хим. строению.

Наиб. изучены эфиры хризантемовой кислоты (т. наз. пиретроиды первого поколения; ф-ла I), например аллетрин (R = а), ресмет-рин (R = б), тетраметрин (R = в), фенотрин (R = г). Соед. обладают высокой инсектицидной активностью, но, как и прир. пиретрины. легко окисляются на свету и поэтому используются главным образом в закрытых помещениях против бытовых насекомых. Таким же действием обладает кадетрин (II).


Более стабильны к окислению пиретроиды второго поколения-эфиры 3-(2,2-дигалогенвинил)-2,2-диметилциклопропанкар-боновых кислот, например перметрин (III; X = Y = Cl, R = H), ЛД50 450 мг/кг (крысы); циперметрин (III; X = Y = Cl, R = CN), ЛД50 200 мг/кг; дельтаметрин (III; X = Y = Br, R = CN), ЛД50 128 мг/кг; а также фенвалерат (IV; R = 4-ClC6H4), ЛД50 451 мг/кг.


Эти соед. обладают широким спектром действия, эффективны при очень малых нормах расхода - обычно от 16 до 300 г/га, а для дельтаметрина, самого активного из совр. инсектицидов, норма расхода 5-20 г/га. Их используют для обработки хлопчатника, а также для мн. других с.-х. культур и садов. Перметрин, кроме того, находит применение против бытовых насекомых, для обработки тканей и тарных материалов.

Недостатки описанных пиретроидов - высокая токсичность для пчел и рыб, отсутствие системного действия и непригодность для борьбы с почвообитающими насекомыми.

Предложены пиретроиды третьего поколения. К ним относятся цигалотрин (III; X = CF3, Y = Cl, R = CN), флуцитринат (IV; R = 4-CHF2OC6H4) и флувалинат (IV, R = 2-Cl-4CF3C6H3NH), а также тралометрин (V), цифлутрин (VI), фенпропатрин (VII), бифетрин (VIII), циклопротрин (IX; ЛД50 5000 мг/кг) и этофенпрокс (X), который в отличие от других пиретроидов не содержит сложноэфирной группы. Некоторые из этих пиретроидов обладают высокой активностью против клещей, меньшей токсичностью для пчел, птиц и рыб.

Пиретроиды - инсектициды контактного и кишечного действия. Они очень быстро всасываются в организм через наружные покровы и нарушают процессы передачи нервных импульсов, вызывая паралич и гибель насекомых.

Инсектицидная активность пиретроидов зависит от их стереохим. конфигурации и изомерного состава. Не все изомеры равноценны по активности и токсичности. Так, для пиретроидов ф-л IV-VII наиб. активны соед. с 5-конфигурацией a-циано-3-феноксибензильной группировки (у соед. с R-конфигура-цией инсектицидная активность резко падает или вообще исчезает). Как правило, пиретроиды получают в виде смеси изомеров с преобладанием наиб. активного.

Доля пиретроидов на мировом рынке инсектицидов в 1987 составила 22% (по сравнению с 1% в 1976).

Лит.: Мельников H. H., Пестициды. Химия, технология и применение, M., 1987, с. 170 91, Ca s id a J. E., "Environmental Health Perspectives", 1980, v. 34, p. 189 202; Naumann К., в кн.: Chemie der Pflanzenschutz-und Schadhngsbe-kampfungsmittel, Bd 7, hrsg. von R. Wegler, В. Heidelberg N. Y., 1981; The pyrethroid insecticides, ed. by J. P. Leahey, L. Phil., 1985. © Г.С. Швиндлерман.




выберите первую букву в названии статьи: А Б В Г Д Е Ж З И К Л М Н О П Р С Т У Ф Х Ц Ч Ш Щ Э Ю Я


Все новости



Новости компаний

Все новости


© ChemPort.Ru, MMII-MMXXIV
Контактная информация