новости бизнеса
компании и предприятия
нефтехимические компании
продукция / логистика
торговый центр
ChemIndex
новости науки
работа для химиков
химические выставки
лабораторное оборудование
химические реактивы
расширенный поиск
каталог ресурсов
электронный справочник
авторефераты
форум химиков
подписка / опросы
проекты / о нас


контакты
поиск
   

главная > справочник > химическая энциклопедия:

ПУРИНОВЫЕ АЛКАЛОИДЫ


выберите первую букву в названии статьи: А Б В Г Д Е Ж З И К Л М Н О П Р С Т У Ф Х Ц Ч Ш Щ Э Ю Я

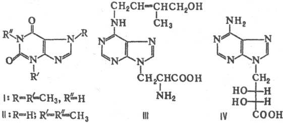
ПУРИНОВЫЕ АЛКАЛОИДЫ, содержат в молекуле остаток пурина. Широко распространены в растит, и животном мире. Основными их источниками служат чай (Thea sinensis) семейства чайных, кофе (Coffea) семейства мареновых и какао (Theobroma cacao) семейства стеркулиевых. пуриновые алкалоиды включают более 30 представителей. Наиб. важные -кофеин, теобромин (3,7-диметилксантин, ф-ла I) и теофиллин (1,3-ди-метилксантин, II).


Теобромин представляет собой бесцв. кристаллы. т. пл. 351°С, плохо раств. в воде. (1:700), этаноле. диэтиловом эфире. раств. в водных растворах щелочей и кислот. Содержится главным образом в какао (в кол-ве 1,5-2%) и парагвайском чае (Ilex paraquariensis) семейства падубовых. Теобромин оказывает стимулирующее влияние на сердечную деятельность, расширяет сосуды сердца и мускулатуру бронхов, усиливает мочеотделение. Применяется при спазмах сосудов мозга, реже-при отеках сердечной и почечной этиологии.

Теофиллин-бесцв. кристаллы. т. пл. 268 °С, хорошо раств. в горячей воде (1:85), плохо-в холодной воде (1:180) и этаноле. раств. в водных растворах кислот. Содержится в осн. в чае, парагвайском чае, кофе и растениях семейства сапин-довых. По фармакологич. действию теофиллин близок к теобромин., отличается более выраженным мочегонным действием. Применяется как бронхолитич. и мочегонное ср-во.

пуриновые алкалоиды могут иметь в качестве заместителей аминокислотные и моносахаридные фрагменты, например лупиновая кислота (III) и эритиденин (IV). Последний проявляет гипохолесте-римич. активность.

пуриновые алкалоиды получают главным образом синтетически, например теофиллин-из мочевой кислоты.

Лит.: Орехов А. П., Химия алкалоидов, 2 изд., М., 1955, с. 658; Машков-ский М. Д., Лекарственные средства, 11 изд., т. 1, М., 1988. М. С. Юнусов.




выберите первую букву в названии статьи: А Б В Г Д Е Ж З И К Л М Н О П Р С Т У Ф Х Ц Ч Ш Щ Э Ю Я


Все новости



Новости компаний

Все новости


© ChemPort.Ru, MMII-MMXXIV
Контактная информация