новости бизнеса
компании и предприятия
нефтехимические компании
продукция / логистика
торговый центр
ChemIndex
новости науки
работа для химиков
химические выставки
лабораторное оборудование
химические реактивы
расширенный поиск
каталог ресурсов
электронный справочник
авторефераты
форум химиков
подписка / опросы
проекты / о нас


контакты
поиск
   

главная > справочник > химическая энциклопедия:

ПШОРРА СИНТЕЗ


выберите первую букву в названии статьи: А Б В Г Д Е Ж З И К Л М Н О П Р С Т У Ф Х Ц Ч Ш Щ Э Ю Я

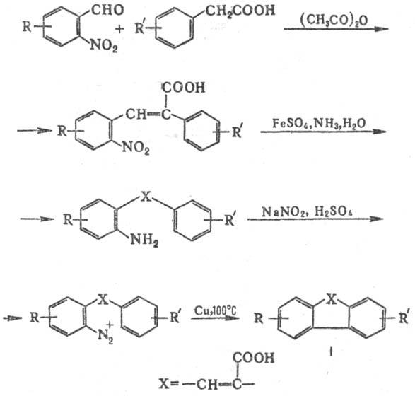
ПШОРРА СИНТЕЗ, получение производных фенантрена конденсацией ароматич. о-нитроальдегидов с арилуксусны-ми кислотами и послед. превращениями продуктов конденсации, например:


Последняя стадия (циклизация диазосоединения) имеет самостоят. значение (т. наз. реакция Пшорра) и применяется для синтеза не только производных фенантрена, но и разнообразных полициклич. соед. (ф-ла I; Х = СН2, СН2СН2, С=O, О, S, Se, NR, CONH, OCH2, CH2Se).

В зависимости от условий реакция протекает по разным механизмам. При катализируемом медью разложении диазосоединения в кислой или щелочной среде происходит главным образом образование ассоциированных с пов-стью катализатора арильных радикалов и их циклизация; наряду с этим происходит циклизация образовавшихся арильных катионов:


При термич. разложении диазосоединений без катализатора преобладающим становится образование катионов и их циклизация, а гомолитич. процессы играют меньшую роль.

Оптим. условия проведения реакции Пшорра определяются строением исходных соединений. Если ароматич. кольцо, не содержащее диазогруппу, дезактивировано к электроф. атаке, макс. выход достигается в условиях, благоприятствующих гомолитич. процессу, например:


Методы проведения реакции по гомолитич. механизму включают обычно стадию диазотирования алкилнитритами в неводной среде и восстановление диазосоединений до радикалов с помощью KI, КВг, NaHSO3, NaH2PO3, Ti2(SO4)3 или пиридина, а также электрохимически либо фотолитически.

Циклизация по гетеролитич. механизму осуществляется в условиях, при которых эффективно генерируется арильный катион (отсутствие внеш. нуклеофилов и промоторов образования радикалов), например:


Если заместители в цикле, не содержащем диазогруппу, расположены асимметрично, то замыкание кольца может осуществляться с участием разл. положений этого цикла.

Высокая реакц. способность диазогруппы обусловливает ряд побочных реакций-ее замещение водородом, гидрокси-лом, галогеном, межмол. арилирование и др.

пшорра синтез используют в лаб. практике для получения производных фенантрена; реакцию Пшорра применяют в синтезе разл. гетероциклов, особенно алкалоидов.

Циклизация диазосоединений открыта в 1894 рядом исследователей; Р. Пшорр в 1896 применил ее для получения фенантрен-9-карбоновой кислоты и в дальнейшем подробно изучил эту реакцию, а также синтез фенантренов исходя из ароматич. о-нитроальдегидов.

Лит.: Де Тар Д. Л. Ф., в сб.: Органические реакции, пер. с англ., сб. 9, М., 1959, с. 529-600; Общая органическая химия, пер. с англ., т. 1, М., 1981, с. 423-25; Abramovitch R., в кн.: Advances in free-radical chemie, v. 2, N. Y., 1967, p. 87-138; Sieper H.,"Chem. Ber.", 1967, Bd 100, № 5, S. 1646-54; Kametani Т., Fukumoto K., "J. Heterocycl. Chem.", 1971, v. 8, p. 341-56; Hegarty А., в кн.: The Chemistry of diazonium and diazogroups, ed. by S. Patai, N.Y., 1978, pt 2, p. 511-91; Duclos R., Tung S., Rapoport H., "J. Org. Chem.", 1984, v. 49, № 26, p. 5243-46. Д. В. Иоффе.




выберите первую букву в названии статьи: А Б В Г Д Е Ж З И К Л М Н О П Р С Т У Ф Х Ц Ч Ш Щ Э Ю Я


Все новости



Новости компаний

Все новости


© ChemPort.Ru, MMII-MMXXIV
Контактная информация