новости бизнеса
компании и предприятия
нефтехимические компании
продукция / логистика
торговый центр
ChemIndex
новости науки
работа для химиков
химические выставки
лабораторное оборудование
химические реактивы
расширенный поиск
каталог ресурсов
электронный справочник
авторефераты
форум химиков
подписка / опросы
проекты / о нас


контакты
поиск
   

главная > справочник > химическая энциклопедия:

АДРЕНОМИМЕТИЧЕСКИЕ СРЕДСТВА


выберите первую букву в названии статьи: А Б В Г Д Е Ж З И К Л М Н О П Р С Т У Ф Х Ц Ч Ш Щ Э Ю Я

АДРЕНОМИМЕТИЧЕСКИЕ СРЕДСТВА (от адреналини греч. -подражательный) (симпатомиметич. ср-ва), лек. вещества, возбуждающие рецепторы, чувствительные к норадреналину и адреналин. (адренорецепторы). В зависимости от того, на какие рецепторы ( или ) оказывают преобладающее влияние адреномиметические средства, их делят на три группы: -адреномиметические средства, вызывающие сужение кровеносных сосудов, в осн. сосудов кожи. слизистых оболочек и почек (норадреналин, мезатон, нафтизин-ф-ла. I, галазолин-П и др.); -А. с., которые усиливают и учащают сердечные сокращения, расширяют кровеносные сосуды скелетных мышц, сердца и мозга, расслабляют бронхи (изадрин, орципреналина сульфат и др.); А. с. (адреналин, тирамин, эфедрин, фенамин и др.). адреномиметические средства могут возбуждать непосредственно адренорецепторы (адреналин, мезатон и др.) или способствовать высвобождению норадреналина из нервных окончаний (эфедрин, фенамин. тирамин и др.).

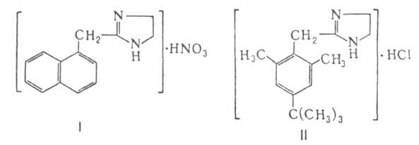
Макс. активность характерна для производных -фенил-этиламина с гидроксилами в положениях 3 и 4 ароматич. кольца (т. наз. катехоламинов. см. табл.), а также для производных имидазолина (ф-лы I и II). Увеличение размеров R в производных -фенилэтиламина приводит к увеличению -адреномиметич. активности, уменьшение его размеров-к увеличению -адреномиметич. активности. При уменьшении числа гидроксилов в ароматич. кольце понижается как -активность, так и -активность (вплоть до исчезновения).

ОРГАНИЧЕСКИЕ РАДИКАЛЫ В ФОРМУЛАХ АДРЕНОМИМЕТИЧЕСКИХ СРЕДСТВ-ПРОИЗВОДНЫХ -ФЕНИЛЭТИЛАМИНА

Соединение
R
RI
RII
RIII
RIV
Адреналин
н
он
он
он
н
Норадреналин
н
он
он
он
н
Изадрин
н
он
он
он
н
Мезатон
н
он
н
он
н
Тирамин
н
н
он
н
н
Орципреналин
он
н
он
он
н
Фенамин
н
н
н
н
СН3
Эфедрин
н
н
н
он
СН3

Левовращающие изомеры производных -фенилэтиламина (напр., (-)-адреналин) в 10 раз активнее правовращающих по периферич. активности, а правовращающие активнее левовращающих по влиянию на центр. и периферич. адренорецепторы (( + )-фенамин активнее ( — )-фенамина по центр. стимулирующей активности).

адреномиметические средства используют для повышения артериального давления купирования приступов бронхиальной астмы и сужения сосудов носа (нафтизин, галазолин).

Лит.: Машковский М.Д., Лекарственные средства, 9 изд., ч. 1, М., 1984, с. 270-86; Pharmacological basis of therapeutics, ed. by L. Goodman, A. Oilman, 5 ed., N.Y., 1975, p. 477-532. С.Д.Южаков.




выберите первую букву в названии статьи: А Б В Г Д Е Ж З И К Л М Н О П Р С Т У Ф Х Ц Ч Ш Щ Э Ю Я


Все новости



Новости компаний

Все новости


© ChemPort.Ru, MMII-MMXXIV
Контактная информация