новости бизнеса
компании и предприятия
нефтехимические компании
продукция / логистика
торговый центр
ChemIndex
новости науки
работа для химиков
химические выставки
лабораторное оборудование
химические реактивы
расширенный поиск
каталог ресурсов
электронный справочник
авторефераты
форум химиков
подписка / опросы
проекты / о нас


контакты
поиск
   

главная > справочник > химическая энциклопедия:

СЕБАЦИНОВАЯ КИСЛОТА


выберите первую букву в названии статьи: А Б В Г Д Е Ж З И К Л М Н О П Р С Т У Ф Х Ц Ч Ш Щ Э Ю Я

СЕБАЦИНОВАЯ КИСЛОТА (декандиовая кислота, 1,8-октан-дикарбоновая кислота) НООС(СН2)8СООН, мол. м. 202,25; бесцв. кристаллы моноклинной сингонии (a =1,01нм, b = 0,5 нм, с = 1,5 нм, b = 133,8°, z = 2, пространств. группа P21/a); т. пл. 134-135 °С, т. кип. 352 °С (с разл.), 232°С/10мм рт. ст.; 1,207; 1,422; m 8,3·10-30 Кл м; ур-ние температурной зависимости давления пара. gp (мм рт. ст.) = 10,565-4836,5 /T(456-625 К); - 5409,4 кДж/моль; K1 2,38 · 10-5, К2 2,60 ·10-6 (25 °С). Р-римость в воде (г в 100 г): 0,1 (15 °С), 2,0 (100 °С); раств. в этаноле и диэтиловом эфире. практически не раств. в бензоле.

себациновая кислота обладает хим. свойствами, характерными для карбоновых кислот; образует соли, этерифицируется в моно- и диэфиры. Соли и эфиры себациновая кислота наз. себацинаты (см. табл.). При восстановлении себациновая кислота образуется 1,10-декандиол, при действии Вr2 на себацинат Аg-1,8-дибромоктан, при дегидратации аммониевой соли или диамида-себацинодинитрил.


Нагревание себациновая кислота с уксусным ангидридом приводит к неустойчивому полимерному ангидриду, который отщепляет СО2 и превращ. в циклононанон.

себациновая кислота способна к поликонденсации с бифункцион. соединениями: с гликолями образует полиэфиры [—OROCO(CH2)8CO—]n, с диаминами и аминоспиртами-соотв. полиамиды и полиэфироамиды [—XRNHCO(CH2)8CO—]n (X = О, NH).

В промышленности себациновая кислота получают в осн. из касторового масла. При его нагревании с водой (200-225 °С, 1,8-2,5 МПа) образуются глицерин и смесь карбоновых кислот. содержащая 80-85% рицинолевой кислоты; разложение последней щелочью при 250 °С с послед. омылением образующегося себацината Na минер. кислотами приводит к себациновая кислота (выход 35-40% в расчете на касторовое масло).

Перспективный метод получения себациновая кислота-анодная конденсация монометиладипината до диметилсебацината с послед. гидролизом диэфира:


Процесс проводят в метаноле на электродах из платинир. Ti при плотн. тока 600-1500 А/м2, температуре 45-55 °С, гидролиз диэфира осуществляют в избытке воды (220-240 °С, 3,9-4,9 МПа); выход 70-75%.

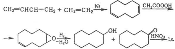
себациновая кислота можно получить также окислением циклодекана HNO3 или из 1,3-бутадиена и этилена по схеме:


себациновая кислота применяют в промышленности для произ-ва полигексамети-ленсебацинамида (найлон-6,10), сополиэфирных волокон и клеев. в качестве стабилизатора алкидных смол. Из эфиров себациновая кислота применяют дибутил- и диоктилсебацинаты в качестве пластификаторов ПВХ, Диизобутилсебацинат-пластификата ряда эластомеров. Ди(2-этилгексил)себацинат входит в состав масел и смазок, работающих при низких температурах.

себациновая кислота-горючее вещество, т. самовоспл. 332 °С, ниж. КПВ для пылевоздушной смеси 0,469% (по объему). Эфиры себациновая кислота-горючие, малотоксичные вещества; для дибутилсебацината ЛД5о 25,5 г/кг, для диоктилсебацината 19,6 г/кг (мыши, перораль-но). Для последнего ПДК 10 мг/м3. Мировое производство себациновая кислота и ее эфиров ок. 300 тыс. т/год (1985).

Лит.: Кларе Г., Фрицше Э., Гребе Ф., Синтетические полиамидные волокна, пер. с нем., М., 1966; Фрейдлин Г.Н., Алифатические дикарбоновые кислоты, М., 1978. себациновая кислота Смирнов.




выберите первую букву в названии статьи: А Б В Г Д Е Ж З И К Л М Н О П Р С Т У Ф Х Ц Ч Ш Щ Э Ю Я


Все новости



Новости компаний

Все новости


© ChemPort.Ru, MMII-MMXXIV
Контактная информация