новости бизнеса
компании и предприятия
нефтехимические компании
продукция / логистика
торговый центр
ChemIndex
новости науки
работа для химиков
химические выставки
лабораторное оборудование
химические реактивы
расширенный поиск
каталог ресурсов
электронный справочник
авторефераты
форум химиков
подписка / опросы
проекты / о нас


контакты
поиск
   

главная > справочник > химическая энциклопедия:

СЕЛЕКТИВНЫЕ ИОНООБМЕННЫЕ СМОЛЫ


выберите первую букву в названии статьи: А Б В Г Д Е Ж З И К Л М Н О П Р С Т У Ф Х Ц Ч Ш Щ Э Ю Я

СЕЛЕКТИВНЫЕ ИОНООБМЕННЫЕ СМОЛЫ (комплек-сообразующие ионообменные смолы), ионообменные смолы, содержащие группы, способные образовывать координац. связи с поглощаемыми из растворов ионами или молекулами. Отличаются высокой селективностью, определяемой сродством комплексообразующей группы (лиганда) к сорбируемым ионам и структурой полимера (св-ва полимерного каркаса, пористость. пространственное расположение групп). Наиб. селективны С. и с., образующие с катионами металлов устойчивые внутрикомплексные соед.-хе-латы.

Сравнение селективности С. и. с. осуществляют по коэф. распределения k = ссм/ср, где ссм и ср - концентрация вещества в смоле и исходном растворе; при этом большое значение имеют сольватац. характеристики сорбируемых ионов и их концентрация. Ряды селективности С. и. с. для разл. ионов существенно отличаются от рядов селективности др. ионообменных смол.

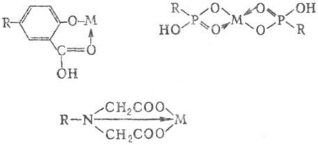
Наиб. активные лиганды-карбоксильные, фосфонатные, иминодиацетатные, глиоксиматные, тиомочевинные, пири-динсодержащие группы, образующие, например, след. комплексные соединения (М-металл):


С. и. с. получают главным образом поликонденсацией и полимеризацией. а также методом полимераналогичных превращений. чаще всего путем хлорметшшрования полимерной матрицы с послед. введением комплексообразующих групп. Наиб. применение находят поликонденсац. амино-альдегид-ные (меламино-формальдегидные), мочевино-формальде-гидные, феколо-формальдегидные и резорцино-формаль-дегидные смолы, а также полимеризационные С. и. с. на основе сополимеров стирола или аминостирола с диви-нилбензолом, тройного сополимера стирола, малеинового ангидрида и дивинилбензола. полиэпихлоргидрина.

Осн. применение С. и. с.-извлечение металлов (гл. обр. тяжелых) из растворов пром. сточных вод. В извлечении Сr наиб. селективны сополимеры эпихлоргидрина с пиридином. Со и Ni-смолы на основе полиаминов. Сr, Zn и Ti-амино-фосфоновые смолы на основе эфиров фосфорной кислоты, аминов и формальдегида. Аминокарбоновые смолы на основе стирола обладают наиб. селективностью главным образом к металлам II группы; порядок селективности:

Sr2+ < Ва2+ < Са2+ < Mg2+ < Со2+ < Zn2+ < Cd2+ < Ni2+ < Рb2+ < < Cu2+ < Hg2+.

Др. области применения С. и. с.-анализ и концентрирование микроэлементов из растворов. Комплексы С. и. с. с металлами-катализаторы гидрирования непредельных соед., кетонов и спиртов, изомеризации, полимеризации, гидроформилирования и др.

Лит.: Херинг Р., Хелатообразующие ионообменники, пер. с нем., М., 1971; Энциклопедия полимеров, т. 3, М., 1977, с. 1081-87; Салдадзе К. М., Копылова В. Д., Комплексообразующие иониты (комплекснты), М., 1980; Копылова В. Д., Астанина А. Н., Ионитные комплексы в катализе, М., 1987. , Г. К. Салдадзе.




выберите первую букву в названии статьи: А Б В Г Д Е Ж З И К Л М Н О П Р С Т У Ф Х Ц Ч Ш Щ Э Ю Я


Все новости



Новости компаний

Все новости


© ChemPort.Ru, MMII-MMXXIV
Контактная информация