новости бизнеса
компании и предприятия
нефтехимические компании
продукция / логистика
торговый центр
ChemIndex
новости науки
работа для химиков
химические выставки
лабораторное оборудование
химические реактивы
расширенный поиск
каталог ресурсов
электронный справочник
авторефераты
форум химиков
подписка / опросы
проекты / о нас


контакты
поиск
   

главная > справочник > химическая энциклопедия:

СЛАБИТЕЛЬНЫЕ СРЕДСТВА


выберите первую букву в названии статьи: А Б В Г Д Е Ж З И К Л М Н О П Р С Т У Ф Х Ц Ч Ш Щ Э Ю Я

СЛАБИТЕЛЬНЫЕ СРЕДСТВА, лек. вещества, способствующие опорожнению кишечника, (дефекации). Их действие связано с мех. и хим. раздражением рецепторов слизистой оболочки кишечника, что усиливает его моторную ф-цию (перистальтику). При этом также нарушается всасывание воды из кишечника, изменяется концентрация и консистенция его содержимого и облегчается продвижение последнего.

По хим. строению слабительные средства разделяют на неорг. и органические. К первым относят т. наз. солевые слабительные - сульфаты натрия и магния Na2SO4 и MgSO4, легко растворимые в воде, но трудно диффундирующие через слизистую оболочку желудочно-кишечного тракта. Образующиеся при диссоциации солевых слабительных ионы очень медленно всасываются в организм, что создает в полости кишечника повыш. осмотич. давление и приводит к накоплению воды, разжижающей содержимое. Солевые слабительные стимулируют также секрецию кишечных желез. что ведет к увеличению объема кишечного содержимого и, следовательно, к растяжению стенки кишечника. Это, в свою очередь, возбуждает механорецепторы и рефлекторно усиливает перистальтику. Кроме того, соли магния образуют нерастворимые мыла. стимулирующие образование полипептида холицистокинина, усиливающего секреторную и перистальтич. ф-ции кишечника.

К органическим слабительные средства относятся антрагликозиды, содержащиеся в корне ревеня (Rheum) семейства гречишных (Poly-gonaceae), плодах жостера (Rhamnus) и коре крушины (Frangula) семейства крушиновых (Rhamnaceae), листьях сен-ны, или кассии (Cassia), семейства бобовых (Leguminosae).

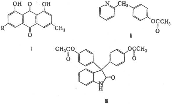
Антрагликозиды частично всасываются в тонком кишечнике, где подвергаются гидролитич. расщеплению (в частности, под влиянием бактериальной флоры), и выделяют в толстом кишечнике активные вещества (эмодины)- производные тригидроксиантрахинона, например франгулаэмодин (ф-ла I, R = ОН; т. пл. 225 °С) и его метиловый эфир (I, R = OCH3; т. пл. 207 °С), а также хризофановую кислоту (I, R = Н; т. пл. 196°С). Возбуждая интерорецепторы толстого кишечника, эти соед. усиливают его перистальтику. По механизму действия к антрагликозидам близки синтетические слабительные средства - бисакодил (II), фенолфталеин и изафенин (III). Последний, кроме того, тормозит всасывание стенкой кишки электролитов и воды, что также способствует усилению перистальтики кишечника.


Послабляющее действие растит. масел (касторового, миндального, оливкового и др.) связано с тем, что под влиянием фермента липазы из них образуются жирные кислоты, которые, омыляясь, вызывают раздражение рецепторов слизистой оболочки кишечника и рефлекторное усиление перистальтики, В механизме действия растит. масел определенную роль играет образование из жирных кислот простагланди-нов, стимулирующих подвижность кишечника. Послабляющий эффект вазелинового масла объясняется тем, что оно способствует накоплению воды и размягчает содержимое толстого кишечника. Набухающие в воде вещества (напр., агар-агар, содержащийся в морской капусте) растягивают стенку кишечника, раздражают ее механорецепторы и реф-лекторно ускоряют продвижение кишечного содержимого.

слабительные средства применяют при запорах, для ускорения выведения из организма лек. и токсичных веществ (противоглистных, рентге-ноконтрастных и др.), а также при диагностич. исследованиях кишечника. Г.Я.Шварц.




выберите первую букву в названии статьи: А Б В Г Д Е Ж З И К Л М Н О П Р С Т У Ф Х Ц Ч Ш Щ Э Ю Я


Все новости



Новости компаний

Все новости


© ChemPort.Ru, MMII-MMXXIV
Контактная информация