новости бизнеса
компании и предприятия
нефтехимические компании
продукция / логистика
торговый центр
ChemIndex
новости науки
работа для химиков
химические выставки
лабораторное оборудование
химические реактивы
расширенный поиск
каталог ресурсов
электронный справочник
авторефераты
форум химиков
подписка / опросы
проекты / о нас


контакты
поиск
   

главная > справочник > химическая энциклопедия:

Адсорбция


выберите первую букву в названии статьи: А Б В Г Д Е Ж З И К Л М Н О П Р С Т У Ф Х Ц Ч Ш Щ Э Ю Я

Адсорбция (от лат. ad - на, при и sorbeo - поглощаю), изменение (обычно - повышение) концентрации вещества вблизи поверхности раздела фаз ("поглощение на поверхности"). Причина адсорбции - ненасыщенностью межмолекулярных связей вблизи поверхности, т.е. существованием адсорбционного силового поля. Тело, создающее такое поле, называют адсорбентом, вещество, молекулы которого могут адсорбироваться, - адсорбтивом, уже адсорбированное вещество - адсорбатом. Процесс, обратный адсорбции, называется десорбцией.

Природа адсорбционного поля различна. В случае, если адсорбция связна с ван-дер-ваальсовыми связями, то адсорбцию называют физической. Если это валентные связи, т.е. адсорбция проходит с образованием поверхностных химических соединений, то адсорбцию называют химической, или хемосорбцией. Важными чертами хемосорбции являет: необратимость, высокие тепловые эффекты (сотни кДж/моль), активированный характер. Существует множество промежуточных видов адсобрции между физической и химической адсорбцией. Например, адсорбция, вызванная образованием водородных связей. Так же возможны разные виды физической адсорбции. Наиболее часто встречается возникновение дисперсионных межмолекулярных сил притяжения, в связи с тем, что они приблизительно постоянны для адсорбентов с поверхностью любой химической природы (неспецифическая адсорбция). Физическая адсорбция может быть вызвана электростатическими силами (взаимодействием между ионами, диполями или квадруполями); при этом адсорбция определяется химической природой молекул адсорбтива (так называемая специфическая адсорбция). Важную роль играет также геометрия поверхности раздела. если поверхность является плоской, то это адсорбция открытой поверхности, в случае слабо или сильно искривленной поверхности - об адсорбции в порах адсорбента.

В теории адсорбции различают статику (система адсорбент-адсорбат находится в термодинамическом равновесии) и кинетику (равновесия нет).

Статика адсорбции

Термодинамика адсорбции

.

Основы термодинамики адсорбции были созданы Дж.Гиббсом в 70-е гг. XIX в. По Гиббсу, в равновесной двухфазной системе вблизи поверхности раздела фаз происходит некоторое изменение локальных значений всех экстенсивных свойств (кроме объема). Однако фазы считаются однородными вплоть до некоторой геометрической поверхности, разделяющей их. Поэтому значение какого-либо экстенсивного свойства для системы в целом не равно сумме значений этого свойства в однородных фазах и . Разность приписывается двухмерной поверхностной фазе, связанной с разделяющей поверхностью. Т.к. поверхностная фаза не имеет толщины, то V0=+ и =—, где V- объем.

Изложенные представления позволяют привести фундаментальное термодинамическое уравнение к виду:


где G-гиббсова свободная энергия, S-энтропия, - межфазное поверхностное натяжение, s-площадь поверхности раздела, и ni - соответствующий химический потенциал и число молей i-того компонента. Индекс указывает на значение соответствующего свойства в поверхностной фазе. Преобразование Лежандра позволяет видоизменить уравнение (1) для изотермических условий:


Величина называется гиббсовой адсорбцией и обозначается символом Г, (выражается в моль/см2). Для двух-компонентной системы:


Положение разделяющей поверхности может быть выбрано произвольно. В частности, выбор этого положения может удовлетворять условию Г1=0. Такая поверхность называется эквимолекулярной. Для нее вводится обозначение Г2 = Г2(1). Отсюда следует основное адсорбционное уравнение Гиббса:


Если адсорбтив совершенно не растворим в одной из двух фаз, =const, и переход от уравнения (2) к уравнению (3) не требует условия Г1=0. Таким образом, гиббсова адсорбция - это избыток данного компонента в реальной двухфазной системе по сравнению с такой системой, в которой обе фазы были бы строго однородны вплоть до разделяющей поверхности. Кроме гиббсовых избыточных величин адсорбции, в ее теории большую роль играет адсорбция, понимаемая как полное содержание компонента i в пространстве W, в котором проявляются адсорбционные силы. Обозначая полное содержание через а и считая, что компонент i совершенно не растворим в одной из объемных фаз, имеем:


где ci-концентрация i-того компонента в объемной фазе. При малых сi:


Адсорбция может происходить на любой поверхности раздела между двумя любыми фазами, в частности на поверхности раздела флюид-флюид (жидкость-газ, жидкость-жидкость) или твердое тело-флюид (твердое-газ, твердое-жидкость). В системах флюид-флюид можно измерить а как функцию и экспериментально определить Г2(1) по уравнению (3). Во втором случае дпя определения Г2(1) измеряют любым методом ni0, , и концентрации i-того компонента в этих объемах. Отсюда вычисляют Гi(1). Этот метод называется объемным (или волюмометрическим). При весовом (гравиметрическом) методе непосредственно определяют количество i-того компонента на поверхности раздела.

Изотерма адсорбции

.

В равновесной адсорбционной системе параметры, определяющие равновесие, - это ai парциальные давления р (или сi) и температура Т. Они связаны так называемым термическим уравнением:


При адсорбции индивидуального адсорбтива (i=1) это уравнение принимает вид:


Три частных случая термического уравнения (когда Т, р или a - константы) играют особую роль в теории адсорбции:

а= - уравнение изотермы адсорбции,

Т= - уравнение изобары адсорбции,

Р- - уравнение изостеры адсорбции.

Конкретный вид функций и определяется особенностями рассматриваемой системы. Если одна из них, например, известна для любого значения Т=const, то, очевидно, становятся известными и две другие. При этом не обязательно, чтобы был известен аналитический вид зависимостей. Они могут быть заданы эмпирически в виде набора значений а, р и Т.

В теории адсорбции обычно решается вопрос о виде функции а=(р)г, т.е. об уравнении изотермы адсорбции. Эта проблема связана с тепловыми эффектами, сопровождающими адсорбцию. При расчете изменения значений основных термодинамических функций в случае перехода dn молей адсорбтива из объемной фазы в поверхностную в равновесной системе при р =const возможны два случая: в первом учитывается только превращение адсорбтива в адсорбат, поскольку адсорбент при адсорбции термодинамически неизменен и его роль - служить источником адсорбционного поля; во втором учитывается и изменение адсорбента.

Так как система равновесна, то химические потенциалы адсорбата и адсорбтива одинаковы; энтропия адсорбата вследствие уменьшения подвижности молекул при адсорбции меньше энтропии адсорбтива. Поэтому при инертном адсорбенте энтальпия всегда отрицательна, т.е. адсорбция экзотермична. Учет изменения энтропии адсорбента может изменить этот вывод. Например, при сорбции полимерами веществ, в которых полимер набухает, энтропия последнего (из-за увеличения подвижности макромолекул) может столь сильно возрасти, что адсорбция становится эндотермической. В дальнейшем в статье рассматривается только экзотермическая адсорбция.

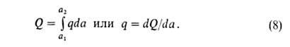
Различают интегральную, дифференциальную, изостерическую и среднюю теплоты адсорбции. Интегральная теплота Q равна убыли энтальпии (при V=const - постоянной внутренней энергии) при изменении адсорбции от a1 до а2(в частном случае может быть а1=0): Q= -(Н2 - Н1). Эту величину относят обычно к массе адсорбента и выражают в Дж/кг.

Дифференциальная теплота q (Дж/моль) равна убыли энтальпии dHпри изменении а на da. Ее выражают отношением q = — (dH/da). Очевидно, что


Изостерическую теплоту qst принимают равной:


где - разность мольных объемов адсорбата и адсорбтива. Можно показать, что для идеального газового адсоритива:


Смысл введения qsi в том, что для ее определения не требуется калориметрических данных (таких, как Q и q) и она может быть вычислена по уравнению (9) по результатам измерения адсорбции. Вводят также среднюю теплоту Q (Дж/моль):


С ростом а параметр Q всегда возрастает, a q может уменьшаться, увеличиваться или оставаться неизменной. С ростом а при неоднородной поверхности адсорбция происходит на все менее активных участках, что приводит к уменьшению q. Однако при этом уменьшаются средние расстояния между адсорбированными молекулами, вследствие чего увеличиваются силы притяжения между ними, и q возрастает. Соотношение между двумя упомянутыми эффектами определяет ход зависимости q=f(a). При очень больших а начинают преобладать силы отталкивания и в этой области q всегда снижается с ростом a.

При очень малых заполнениях поверхности уравнение изотермы адсорбция имеет вид уравнения Генри:


где КH - коэффициент Генри. Действительно, при очень малых а адсорбционный слой подобен двухмерному идеальному газу, поэтому его уравнение состояния имеет вид: =RT,где - двухмерное давление, - площадь, занимаемая одним молем вещества. Отсюда, учитывая, что =—, и используя уравнение (3), получаем уравнение (12). Уравнение Генри требует, чтобы q было постоянным. При больших заполнениях это уравнение перестает выполняться. Поэтому Г.Фрейндлих (1906) предложил описывать изотермы адсорбции следующим эмпирическим уравнением (уравнение Фрёйндлиха):


где k и n - константы. Этим уравнением часто пользуются как интерполяционной формулой, хотя оно при малых р не переходит в уравнение (12), а при очень больших р приводит к несогласующемуся с опытом неограниченному возрастанию а.

Строгая теория изотермы адсорбция была создана И. Ленгмю-ром (1914-18). В основу теории положена след. модель: 1) поверхность адсорбента представляет собой набор энергетически одинаковых активных центров, на которых адсорбируются (локализуются) молекулы адсорбтива; 2) на одном центре адсорбируется только одна молекула, т.е. при адсорбция образуется только один адсорбц. слой (монослой); 3) адсорбция на данном центре не влияет на адсорбция на др. центрах, т. е. взаимод. адсорбированных молекул можно пренебречь.

Модель Ленгмюра наз. локализованной мономолекулярной адсорбция на однородной поверхности. уравнение изотермы адсорбция, соответствующее этой модели, м.б. получено при помощи разл. методов (молекулярно-кинетич., термодинамич., ста-тистико-термодинамич.). Так, адсорбц. равновесие можно выразить след. схемой:

Молекула Своб. Адсорбц. в газовой + адсорбц.1006-65.jpg комплекс фазе центр (занятый центр)

Концентрация молекул в газе пропорциональна р, концентрация своб. центров-величине (ат — а), где ат- полное число центров, а-число занятых центров, концентрация адсорбц. комплексов-величине адсорбция Следовательно, константа равновесия равна: Кр = р(ата)/адсорбция Отсюда получаем уравнение Ленгмюра:

1006-66.jpg

где b-т. наз. адсорбц. коэф., равный Кр-1. В области очень малых давлений bр " 1 и a = (amb)p, что отвечает уравнению Генри, в котором КH = amb. В области очень больших давлений 1006-67.jpg1 и а1006-68.jpgат; при этом адсорбция перестает зависеть от давления. Константа равновесия b-1связана со стандартным значением изобарного потенциала реакции:

1006-69.jpg

Модель Ленгмюра требует, чтобы дифференц. теплота и энтропия адсорбция не зависели от степени заполнения поверхности.

уравнение (14)-строгое выражение, соответствующее модели Ленгмюра, однако оно редко оправдывается на опыте, поскольку сама модель идеализированадсорбция Учение об адсорбция с 20-х гг. 20 в. в значит. степени строилось на основе ослабления или исключения того или иного допущения Ленгмюрадсорбция

Уже Ленгмюр предложил способ описания адсорбция на неоднородной поверхности (т.е. при допущении, что не все центры оди наковы). Объединяя одинаковые центры в группы и полагая, что к каждой группе применимо уравнение (14), можно считать, что адсорбция на всей поверхности выражается суммой членов уравнения (14):

1006-70.jpg

Полагая, что число адсорбц. центров м.б. описано непрерывной ф-цией распределения по значениям своб. энергии, Я.Б.Зельдович получил из ф-лы (16) для экспоненциальной ф-ции уравнение типа (13).

адсорбция на неоднородных поверхностях-большая глава теории адсорбция Ее осн. задача-решение интегрального уравнения:

1006-71.jpg

где f(р)- т. наз. эмпирич. изотерма адсорбция,1006-72.jpg -та или иная ф-ция распределения числа центров по значениям своб. энергии,1006-73.jpg(b, р)- локальная изотерма адсорбция, в кач-ве которой обычно принимают изотерму Ленгмюрадсорбция

Много попыток сделано в направлении отказа от второго допущения Ленгмюрадсорбция На этом пути особое значение приобрела теория полимолекулярной адсорбция, предложенная С. Брунауэром, П. Эмметом и Э. Теллером (теория БЭТ). Теория постулирует, что при температуре ниже критической каждая молекула, адсорбированная в первом слое (теплота адсорбции qi,), является центром для молекул, образующих второй слой, и т.д. При этом считается, что теплота адсорбция во всех слоях, кроме первого, равна теплоте конденсации1006-74.jpg Такая модель приводит к уравнению:

1006-75.jpg

где с = ехр[(q1 -1006-76.jpg)/RT]. уравнение (18) в координатах a, p/ps соответствует S-образной кривой. В координатах p/ps,

изотерма адсорбция по уравнению (18) должна быть линейной.1006-77.jpg Наклон этой прямой (обычно в интервале 0,05 < p/ps < < 0,30) и отрезок, отсекаемый ею на оси ординат, дают значения соотв. ат и с. Широкое распространение теории БЭТ связано с тем, что ее авторы, фактически считая адсорбция нелокализованной, отождествляют константу ат не с числом дискретных адсорбц. центров, а с числом молекул адсорба-та в первом слое при плотнейшей упаковке (при р = ps). Поэтому, вводя представление о площади1006-78.jpg занимаемой одной молекулой в этом слое, принимают:

1006-79.jpg

где s- площадь поверхности адсорбатадсорбция Как правило, для этого измеряют изотерму адсорбция азота и принимают, что для его молекулы1006-80.jpg= 0,162нм2. Часто выполняемый аналогичный расчет s по модели Ленгмюра не корректен, т.к. этот метод, очевидно, применим только к нелокализованной адсорбция

В теорию полимолекулярной адсорбция большой вклад внес Я. де Бур, экспериментально показавший, что зависимость среднего числа слоев (свыше первого) на всех поверхностях, близких по хим. природе, от p/ps выражается универсальной кривой (т. наз. t-кривой). Это также позволяет оценивать площади поверхности адсорбтивов.

Предпринимались попытки учесть в модели Ленгмюра также взаимод. между адсорбиров. молекулами. Так, Т. Хилл и Я. де Бур, считая, что уравнение состояния адсорбц. слоя есть двухмерный аналог уравнения Ван-дер-Ваальса, получили след. уравнение изотермы адсорбция:

1006-81.jpg

где1006-82.jpg= а/ат, а и b-константы уравнения Ван-дер-Ваальсадсорбция Р. Фаулер и Э. Гуггенгейм, учтя взаимод. адсорбиров. молекул, вывели уравнение:

1006-83.jpg

где1006-84.jpg-константа, связанная с парным взаимодействием молекул.

Существует еще один механизм, приводящий к дополнит. адсорбция адсорбтивов ниже их критич. температуры на пористых адсорбентах при сравнительно высоких значениях p/ps. Это - капиллярная конденсация. Если в поре образовался вогнутый мениск адсорбата, то в ней начинается конденсация при p/ps<1. Согласно уравнению Кельвина:

1006-85.jpg

где1006-86.jpg-поверхностное натяжение адсорбата, V-его мольный объем, r-радиус кривизны менискадсорбция Капиллярная конденсация приводит к резкому подъему изотермы адсорбция При этом часто (но не всегда) наблюдается т. наз. адсорбц. гистерезис, т.е. несовпадение адсорбц. и десорбц. ветвей изотермы. Как правило, это связано с тем, что формы менисков при адсорбция и десорбции не совпадают.

Капиллярную конденсацию используют для определения размеров пор адсорбентадсорбция По уравнению (22) для каждого значения p/ps вычисляют радиус кривизны менискадсорбция Из него, учитывая толщину адсорбц. слоя (напр., по t-кривой), форму переходной области от слоя к мениску и зависимость1006-87.jpg от кривизны при очень малых r, находят линейный размер (эффективный радиус ref) пор, заполняемых при данном p/ps. Объем таких пор определяют по приросту адсорбция в этой точке изотермы. Используя полученные данные, строят кривую распределения объема пор по их радиусам. Метод применим при ref1006-88.jpg1,5 нм. Обычно расчет ведут по десорбц. ветви изотермы, но более строгая совр. теория требует для построения кривой учета обеих ветвей.

Потенциальная теория адсорбции и теория объемного заполнения микропор. Модель адсорбция, принципиально отличную от ленгмюровской, предложил в 1914 М. Поляки. Согласно этой модели, вблизи поверхности адсорбента существует потенциальное адсорбц. силовое поле, убывающее с расстоянием от поверхности. Вследствие этого давление адсорбтива, равное вдали от поверхности р, вблизи нее возрастает и на некотором расстоянии достигает значения ps, при котором адсорбтив конденсируется. Объем слоя между поверхностыо раздела и геом. местом точек, где р = ps, заполнен жидкостью, которой приписываются нормальные значения физ. свойств объемной жидкости. Обратимая изотермич. работа е адсорбц. сил, определяемая по уравнению1006-89.jpg= RTlnp/ps, наз. адсорбц. потенциалом, а вся концепция-потенциальной теорией адсорбция При заданной величине объема V адсорбц. слоя потенциал1006-90.jpgне зависит от температуры (вследствие независимости дисперсионных сил от температуры). Такая температурная инвариантность дает возможность пересчитывать адсорбция с одной т-ры на другую, хотя уравнения изотермы адсорбция на основе излагаемой теории вывести не удавалось. Модель Поляни широко и успешно применялась мн. авторами, однако она содержала два очень уязвимых положения: 1) допущение о том, что тончайшая адсорбц. пленка имеет нормальные значения физ. свойств объемной жидкости (это допущение не подтверждалось опытами); 2) температурная инвариантность ф-ции1006-91.jpg=f(V), лежащая в основе теории, приближенно подтверждалась опытом только для очень тонкопористых адсорбентов.

Используя потенциальную теорию, М.М. Дубинин предложил и разработал теорию объемного заполнения микро-пор (ТОЗМ). Было постулировано, что эта теория применима только к микропористым адсорбентам. Особенность таких адсорбентов, в которых линейные размеры пор r1006-92.jpg1 нм, состоит в том, что весь объем их пор "заполнен" адсорбц. полем. Поэтому при адсорбция они заполняются не послойно, а объемно. Величина1006-93.jpg в рассматриваемом случае - это не адсорбц. потенциал, а с точностью до знака хим. потенциал адсорбата, отсчитываемый от уровня хим. потенциала нормальной жидкости при той же температуре. Вся совокупность пор адсорбентов разделяется на три класса: микропоры (r1006-94.jpg0,6 нм), мезопоры (0,6 нм1006-95.jpgr1006-96.jpg20 нм) и макропоры (r1006-97.jpg20 нм). адсорбция в микропорах происходит по схеме ТОЗМ, т.е. объемно, в мезопорах-по механизму послойного заполнения, завершаемого капиллярной конденсацией. Макропоры при адсорбц. равновесии никакой роли не играют.

Введя представление о ф-ции распределения объемов пор по значениям хим. потенциала адсорбата в них, М.М. Дубинин и Л. В. Радушкевич получили уравнение изотермы адсорбции ТОЗМ, которое обычно записывают в след. форме:

1006-98.jpg

где п, Е и а0-параметры (а0 = а при р = ps). Температурная зависимость a0:

1006-99.jpg

где1006-100.jpg= -(da0/dT); a00 = a0 при Т= Т0. Параметры п и Е практически не зависят от температуры. В большинстве случаев п = 2. Лишь для случаев, когда начальные теплоты адсорбция очень велики, п > 2. Для пересчета изотерм адсорбция с одного адсорбтива на другой приближенно допускают, что E1/E21006-101.jpgP1/P=1006-102.jpgи что a01/a021006-103.jpgV1/V2,где Pi-парахор, Vi- мольный объем адсорбтивадсорбция

Каждый микропористый адсорбент характеризуется по ТОЗМ двумя параметрами: W-объемом микропор (W0 = = a0V0)и E0-характеристич. энергией; W0 и E0 относят к стандартному адсорбтиву, обычно к бензолу.

Пользуясь представлением, что в реальном адсорбенте имеются поры разных размеров, и вводя распределение значений Е с дисперсией, равной1006-104.jpg Ф. Стекли предложил обобщение уравнения (23), названное уравнением Дубинина-Стёкли:

1006-105.jpg

где B0 - константа, связанная с E в уравнении (23), а у=1006-106.jpg. T.к. в адсорбц. технике наиб. распространение получили именно микропористые адсорбенты (активные угли, цеолиты, тонкопористые ксерогели), ТОЗМ применяется не только в физ.-хим. исследованиях, но и в инженерных расчетах.

Адсорбция газовых и жидких смесей. Па практике всегда имеют дело не с индивидуальным адсорбтивом, а со смесью газов или с жидкими растворами. Поэтому требуется обобщение теории адсорбция на случай многокомпонентного адсорбтивадсорбция В принципе можно исходить из любой модели адсорбция и распространить ее на этот случай. При адсорбция газовой смеси это достигается не только большим усложнением уравнений, но и введением в них дополнит. эмпирич. параметров, связанных или с взаимод. разнородных молекул или, в более общем виде, с влиянием одних в-в на коэф. активности других. Только модель Ленгмюра позволяет получить уравнение изотермы адсорбция смеси без параметров, не входящих в уравнения для адсорбция индивидуальных в-в. Для этого достаточно учесть, что при адсорбции k-того компонента из смеси i компонентов часть адсорбц. центров м.б. занята др. молекулами. Поэтому:

1006-107.jpg

В случае адсорбция жидких растворов независимо от их концентрации вся поверхность адсорбента заполненадсорбция Вследствие этого адсорбция молекулы k-того компонента сопровождается вытеснением не-которого числа молекул остальных компонентов, т. е. адсорбция носит конкурентный характер.

Различают молекулярную и ионную адсорбция растворов. Первая происходит при адсорбция растворов неэлектролитов, вторая-р-ров электролитов. Молекулярная адсорбция, как правило, выражается избыточными величинами. Конкурентный характер адсорбция обусловливает то, что величина а м.б. как положительной, так и отрицательной. Выражая адсорбция i-того компонента как ф-цию его мольной доли в растворе хi-, имеем, что Гi = О при хi = 0 и хi = 1 (возможным изменением объема вещества в адсорбц. слое пренебрегают). Поэтому изотерма адсорбция имеет один или неск. экстремумов.

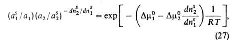
уравнение изотермы адсорбция бинарных растворов неэлектролитов, надежно обоснованное термодинамически, имеет вид:

1006-108.jpg

где индекс s указывает на адсорбц. фазу, — (dns2/dns1)показывает, сколько молей второго компонента вытесняется одним молем первого,1006-109.jpg-разность слагаемых (стандартных частей) хим. потенциала, зависящих только от температуры.

Осн. проблема использования этого и ряда др. уравнений изотермы адсорбция-выяснение зависимости коэф. активности компонентов в адсорбц. слое от его составадсорбция Важнейший вопрос при применении адсорбция для разделения или очистки веществ-подбор селективного адсорбента по отношению к данному компоненту растворадсорбция

Ионная адсорбция, как правило, не носит эквивалентного характерадсорбция На поверхности из раствора электролита адсорбируются преим. катионы или анионы. Благодаря электрич. (кулонов-ским) силам на поверхности образуется двойной электрический слой.

Если в состав адсорбента входят ионы или поверхностные функц. группы, способные в данном растворителе к ионизации, то между адсорбентом и раствором электролита происходит ионный обмен. Адсорбент в этом случае наз. ионитом.

Кинетика адсорбции

адсорбция, как и любой реальный процесс, происходит во времени. Поэтому полная теория адсорбция должна содержать раздел о кинетике адсорбция Элементарный акт адсорбция осуществляется практически мгновенно (исключение-хемосорбция). Поэтому временные зависимости адсорбция определяются в осн. механизмом диффузии, т. е. подвода адсорбтива к месту адсорбция Если адсорбция на открытой поверхности не мгновенна, такой процесс происходит во внешнедиффузионной области; при этом законы диффузии не специфичны для адсорбция В случае же пористых адсорбентов, кроме внеш. диффузии, важную роль начинает играть внутр. диффузия, т.е. перенос адсорбтива в порах адсорбента при наличии в них градиента концентрации. Механизм такого переноса может зависеть от концентрации адсорбтива и размеров пор.

Различают молекулярную, кнудсеновскую и поверхностную (фольмеровскую) диффузию. Молекулярная диффузия осуществляется, если длина своб. пробега молекул в порах меньше размера пор, кнудсеновская-если эта длина превышает размер пор. При поверхностной диффузии молекулы перемещаются по поверхности адсорбента без перехода в объемную фазу. Однако значения коэф. диффузии не одинаковы для разных механизмов диффузии. Во мн. случаях экспериментально не удается установить, как именно происходит диффузия, и поэтому вводят т. наз. эффективный коэф. диффузии, описывающий процесс в целом.

Осн. эксперим. материалом о кинетике адсорбция служит т. наз. кинетич. кривая, т.е. ф-ция1006-110.jpg= а/аравн=f(t) где1006-111.jpg-относительная адсорбция, равная отношению текущего значения адсорбции а к aравн - её значению при времени t1006-112.jpg. Для истолкования кинетич. кривой в простейшем случае предполагают, что зерно адсорбента имеет совершенно однородную по объему пористую структуру (эту модель наз. квазигомогенной). значит. усовершенствование квазигомогенной модели-представление о том, что каждое зерно содержит области с более крупными и более тонкими порами. Диффузия в таком зерне описывается двумя разл. коэффициентами.

В случае открытой поверхности, принимая модель Ленгмюра, легко получить кинетич. уравнение адсорбция Скорость приближения к равновесию1006-113.jpg представляет собой разность скоростей адсорбция и десорбции. Считая, как обычно в кинетике, что скорости процессов пропорциональны концентрациям реагирующих в-в, имеем:

1006-114.jpg

где kадс и kдес- константы скорости соотв. адсорбция и десорбции. Давление в газовой фазе считается постоянным. При интегрировании этого уравнения от t = 0 до любого значения t получим:

1006-115.jpg

Отсюда при f1007-1.jpg имеем:1007-2.jpg=1007-3.jpgравн. Поэтому окончательно имеем:

1007-4.jpg

где k = kадс + kдес.

Влияние температуры на скорость адсорбция выражается уравнением, аналогичным уравнению Аррениусадсорбция С увеличением температуры kадс экспоненциально возрастает. Т.к. диффузия в порах адсорбента связана с преодолением активац. барьеров, температурные зависимости kадс и kдес не одинаковы.

Знание скоростей диффузии важно не только для теории адсорбция, но и для расчета пром. адсорбц. процессов. При этом обычно имеют дело не с отдельными зернами адсорбента, а с их слоями. Кинетика процесса в слое выражается очень сложными зависимостями. В каждой точке слоя в данный момент времени величина адсорбция определяется не только видом уравнения изотермы адсорбция и закономерностями кинетики процесса, но также аэро- или гидродинамич. условиями обтекания зерен газовым или жидкостным потоком. Кинетика процесса в слое адсорбента в отличие от кинетики в отдельном зерне наз. динамикой адсорбция, общая схема решения задач которой такова: составляется система дифференц. уравнений в частных производных, учитывающая характеристики слоя, изотерму адсорбция, диффузионные характеристики (коэф. диффузии, виды переноса массы по слою и внутри зерен), аэро- и гидродинамич. особенности потокадсорбция Задаются начальные и краевые условия. Решение этой системы уравнений в принципе приводит к значениям величин адсорбция в данный момент времени в данной точке слоя. Как правило, аналитич. решение удается получить только для простейших случаев, поэтому такая задача решается численно с помощью ЭВМ.

При опытном изучении динамики адсорбция через слой адсорбента пропускают газовый или жидкостный поток с заданными характеристиками и исследуют состав выходящего потока как ф-цию времени. Появление поглощаемого вещества за слоем наз. проскоком, а время до проскока — временем защитного действия. Зависимость концентрации данного компонента за слоем от времени наз. выходной кривой. Эти кривые служат осн. эксперим. материалом, позволяющим судить о закономерностях динамики адсорбция

Аппаратурное оформление адсорбционных процессов

Существует множество технол. приемов проведения адсорбц. процессов. Широко распространены циклич. (перио-дич.) установки с неподвижным слоем адсорбента, осн. узел которых - один или неск. адсорберов, выполненных в виде полых колонн, заполняемых гранулированным адсорбентом. Газовый (или жидкостной) поток, содержащий адсорбируемые компоненты, пропускается через слой адсорбента до проскокадсорбция После этого адсорбент в адсорбере регенерируют, а газовый поток направляют в др. адсорбер. Регенерация адсорбента включает ряд стадий, из которых ос новная-десорбция, т.е. выделение ранее поглощенного в-ва из адсорбентадсорбция Десорбцию проводят нагреванием, сбросом давления в газовой фазе, вытеснением (напр., острым водяным паром) или комбинацией этих методов. Т. к. времена адсорбция и регенерации не совпадают, подбирают такое число одновременно работающих и регенерируемых адсорберов, чтобы в целом процесс шел непрерывно.

По техн. и экономич. соображениям регенерацию не доводят до концадсорбция Поэтому рабочая емкость адсорбента равна разности между максимально достигаемой в данных условиях адсорбция и кол-вом адсорбата, остающегося в адсорбенте после регенерации. Вследствие этого изотермы адсорбция, соответствующие процессу в адсорбере, не должны быть слишком крутыми.

В описанной схеме возможны два варианта: 1) целевой продукт адсорбируется из газового потока практически полностью, и тогда он содержится в десорбате, откуда его извлекают тем или иным способом; 2) целевой продукт адсорбируется хуже, чем др. компоненты газовой смеси, и тогда он содержится в выходящем газовом потоке. По первому варианту работают, например, рекуперационные установки на вискозных произ-вах, улавливающие из отходящих газов и возвращающие в цикл CS2. Производительность таких установок достигает сотен тысяч м3 очищаемого газа в час; адсорбент-активный уголь с не слишком тонкими микропорами, т.е. уголь, в котором константа E по ТОЗМ (см. выше) равна 20-25 кДж/моль. Это значение E0 соответствует не слишком крутой изотерме, что обеспечивает хорошие условия регенерации. Такие угли наз. рекуперационными. Десорбцию осуществляют острым водяным паром. Для экономии энергии холодные и газовые горячие потоки пропускают через теплообменники.

Очень важна осушка газов и жидкостей, например нефтяных газов перед их переработкой или прир. газов перед транспортировкой; адсорбенты-силикагель или цеолиты. Десорбцию осуществляют нагреванием. Т. к. десорбция цеолита связана с большими энергозатратами, применяют комбинированный адсорбент: осн. массу влаги поглощают легко регенерируемым силикагелем, а глубокую доосушку-цеолитом.

При тепловой регенерации полный цикл включает адсорбция, нагрев адсорбента, его десорбцию и охлаждение. Большое число стадий обусловливает низкую интенсивность и высокую энергоемкость процессадсорбция Поэтому широкое распространение получили т. наз. короткоцикловые установки, весь цикл в которых занимает неск. минут. В них газ подается в адсорбер под значит. давлением, которое затем сбрасывается, и происходит десорбция. Весь процесс идет почти изотермически (отклонение от изотермичности вызывается только выделением теплоты адсорбция и поглощением теплоты при десорбции). Стадии цикла: адсорбция, сброс давления, десорбция, подъем давления. Пример-установки с цеолитом для получения воздуха, обогащенного кислородом.

В установках сдвижущимся слоем адсорбента (в т. наз. гиперсорберах) последний под действием силы тяжести медленно опускается, выводится из ниж. части адсорбера и попадает в т. наз. эрлифт, представляющий собой вертикальную трубу, параллельную адсорбц. колонне. По этой трубе снизу вверх движется поток воздуха, который поднимает зерна адсорбента в верх. часть колонны. Перерабатываемый газовый поток поступает в среднюю часть адсорбера и движется вверх противотоком к адсорбенту. В верхней части колонны непрерывно происходит адсорбция, в нижней - регенерация адсорбента (см. также Адсорбционная очистка).

В установках с псевдоожиженным ("кипящим") слоем адсорбента газовый поток, поступающий в адсорбер снизу, приводит адсорбент во взвешенное состояние. При этом резко увеличивается эффективность массообмена между адсорбентом и газом и сокращается длительность адсорбция и десорбции. Такие установки имеют высокую производительность. Их широкому распространению препятствуют высокие требования, предъявляемые к мех. прочности зерен адсорбента (недостаточная прочность обусловливает значит. потери адсорбента вследствие его истирания и уноса из аппарата).

Осн. требования к адсорбентам: большая адсорбц. емкость, т.е. они должны представлять собой дисперсные тела с большой уд. поверхностью или с большим объемом пор; хим. природа поверхности должна обеспечивать эффективную адсорбция данных в-в в данных условиях; хим. и термич. стойкость, регенерируемость, доступность. наиб. распространение получили активные угли, ксерогели некоторых оксидов (силика-гели, алюмогели и др.), цеолиты; из непористых адсорбентов-техн. углерод (сажа) и высокодисперсный SiO2 (аэросил, "белая сажа").

Области применения адсорбционной техники

На явлении адсорбция основаны мн. способы очистки воздуха от вредных примесей (см. Газов очистка), воды (см. Водоподготовка), а также сахарных сиропов при сахароварении, фруктовых соков и др. жидкостей в пищ. пром-сти, отработанных смазочных масел. Удаление влаги как вредной примеси из газов и жидкостей с помощью твердых адсорбентов-одна из важных отраслей адсорбц. техники (см. также Газов осушка).

На адсорбц. процессах основано тонкое разделение смесей веществ и выделение из сложных смесей определенных компонентов. Примеры-разделение изомеров алканов с целью получения нормальных углеводородов для произ-ва ПАВ, разделение нефтей при произ-ве моторных топлив. Для газовых смесей адсорбц. методы разделения используют при получении воздуха, обогащенного кислородом (вплоть до почти чистого О2); во мн. случаях эти методы успешно конкурируют с ректификационным (см. Воздуха разделение).

Быстро развивающаяся область применения адсорбц. техники-медицина, где она служит для извлечения вредных веществ из крови (метод гемосорбции) и др. физиол. жидкостей. Высокие требования к стерильности ставят очень трудную задачу подбора подходящих адсорбентов. К ним относятся специально приготовленные активные угли.

Лит.: Брунауэр С., Адсорбция газов и паров, пер. с англ., т. 1, М., 1948; де Бур Я, Динамический характер адсорбции, пер. с англ., М., 1962; Адсорбция и пористость, под ред. М. М. Дубинина [и др.], М., 1976; Кельиев Н. В., Основы адсорбционной техники, 2 изд., М., 1984; Young D.M., Crowell A.D., Physical adsorption of gases, L., 1962. М.М.Дубинин, В.В. Серпинский.


выберите первую букву в названии статьи: А Б В Г Д Е Ж З И К Л М Н О П Р С Т У Ф Х Ц Ч Ш Щ Э Ю Я


Все новости



Новости компаний

Все новости


© ChemPort.Ru, MMII-MMXXIV
Контактная информация