новости бизнеса
компании и предприятия
нефтехимические компании
продукция / логистика
торговый центр
ChemIndex
новости науки
работа для химиков
химические выставки
лабораторное оборудование
химические реактивы
расширенный поиск
каталог ресурсов
электронный справочник
авторефераты
форум химиков
подписка / опросы
проекты / о нас


контакты
поиск
   

главная > справочник > химическая энциклопедия:

СОРБИТАНЫ


выберите первую букву в названии статьи: А Б В Г Д Е Ж З И К Л М Н О П Р С Т У Ф Х Ц Ч Ш Щ Э Ю Я

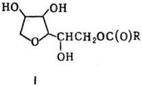
СОРБИТАНЫ (спаны), сложные эфиры ангидросорбита и жирных кислот. Наиб. важны моноэфиры ф-лы I, где R-алкил или алкенил С1117. Неионогенные ПАВ. Раств. в этаноле. диэтиловом эфире. не раств. в воде. Критич. концентрация мицеллообразования ок. 0,1 г/л.

Практич. применение находят главным образом сорбитаны на основе лауриновой, пальмитиновой, стеариновой и олеиновой кислот. Синтез сорбитаны осуществляют взаимод. сорбита и соответствующей кислоты при 180-225 °С в присутствии щелочных катализаторов (NaOH) в среде орг. растворителя или без него при нормальном или пониженном давлении.

Осн. пром. продукты: сорбитан С (спан-60) - сорби-танмоностеарат, R = C17H35, светло-желтое воскообразное вещество, содержание осн. вещества 98%, т.пл. 52,5-55,5°С, т. всп. 232 °С, т. воспл. 249 °С, гидрофильно-липофильный баланс (ГЛБ) 4,7; сорбитаноолеат (спан-80)-смесь моно- и диолеатов, вязкая масса от кремового до темно-желтого цвета, содержание осн. вещества 98% (моноолеата 80-85%), h 1,2 Па·с (25°С), т. всп. 210°С, т. воспл. 246°С, ГЛБ 4,3.

сорбитаны-эмульгаторы типа вода/масло и солюбилизаторы в фармацевтич. промышленности и произ-ве косметич. ср-в; замасливатели и мягчители в текстильной промышленности; ингибиторы коррозии. компоненты чистящих композиций; полупродукты в произ-ве сорбиталей.

сорбитаны малотоксичны. Раздражают слизистые оболочки ды-хат. путей и глаз. ЛД50 30-75 мг/кг (кролики, перорально).

Лит. см. при ст. Сорбитали. сорбитаны В. Елецкая.




выберите первую букву в названии статьи: А Б В Г Д Е Ж З И К Л М Н О П Р С Т У Ф Х Ц Ч Ш Щ Э Ю Я


Все новости



Новости компаний

Все новости


© ChemPort.Ru, MMII-MMXXIV
Контактная информация