новости бизнеса
компании и предприятия
нефтехимические компании
продукция / логистика
торговый центр
ChemIndex
новости науки
работа для химиков
химические выставки
лабораторное оборудование
химические реактивы
расширенный поиск
каталог ресурсов
электронный справочник
авторефераты
форум химиков
подписка / опросы
проекты / о нас


контакты
поиск
   

главная > справочник > химическая энциклопедия:

Температура


выберите первую букву в названии статьи: А Б В Г Д Е Ж З И К Л М Н О П Р С Т У Ф Х Ц Ч Ш Щ Э Ю Я

Температура (от лат. temperatura- надлежащее смешение. нормальное состояние), термодинамич. параметр, характеризующий состояние термич. равновесия макроскопич. системы. Наряду с давлением. хим. потенциалом и др. параметрами состояния. Температура относится к интенсивным величинам, т.к. не зависит от массы системы. Согласно принципу термич. равновесия, две фазы А и В, адиабатически изолированные от окружающей среды (внутр. энергии фаз соотв. ЕА + ЕВ = const), могут находиться в состоянии равновесия, которое характеризуется определенными значениями и (рА, рB-давления; , -молярные объемы фаз). Экспериментально установлено, что если фаза А находится в равновесии с фазой В, а В-с С, то А и С также находятся в равновесии. Из принципа термич. равновесия следует, что каждая фаза обладает эмпирической температурой q-измеримым свойством такого рода, что из qА(рA; ) = qB(рB; ) и qB(рB; ) = qC(рC; ) следует qА(pА; ) = qс(рс; ).

Если две фазы с разл. q приведены в тепловой контакт друг с другом через пов-сть раздела и qА > qВ, возникает поток теплоты от А к В, Температура е. от более нагретой фазы к менее нагретой. При qА = qВ тепловой поток отсутствует. Принцип термич. равновесия впервые сформулирован Дж. Блэком в кон. 18 в. В термодинамику он введен, однако, позднее первого и второго начал термодинамики. поэтому его часто называют нулевым началом термодинамики.

Существует множество ф-ций q(p, ), удовлетворяющих нулевому началу. Конкретный вид q(p, ) определяется используемым измерит. прибором - термометром и способом построения термометрич. шкалы.

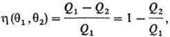
Понятие абсолютной температуры введено У. Томсоном (лордом Кельвином) в 1848 на основании теоремы Карно, согласно которой все обратимые тепловые машины, где рабочее тело совершает круговой процесс между нагревателем с эмпирической температуры q1 и холодильником с эмпирической температуры q2, имеют одинаковый кпд h, независимо от природы рабочего тела:


где Q1- тепло, отбираемое рабочим телом от нагревателя, Q2-тепло, передаваемое холодильнику. Значения q1 и q2 можно измерить с помощью произвольной шкалы Температура, величины и h при смене шкалы остаются постоянными. Абсолютная температура вводится соотношением:


где T1 и Т2-абсолютные Температура нагревателя и холодильника соотв., причем T1 есть ф-ция только q1, а Г2-только q2. Для построения шкалы абсолютной Температура достаточно приписать определенное значение Т, одному известному термич. состоянию. В настоящее время по международному соглашению принято, что абсолютная (термодинамич.) температура плавления воды при нормальном давлении равна 273,15 К (точно). Абсолютный нуль температуры (или нулевая абсолютная температура) имеют ясный физ. смысл как температура холодильника в цикле Карно, при которой кпд тепловой машины h = 1. Тело, находящееся при нулевой температуре, не способно передавать теплоту к.-л. другому телу. Единица измерения абсолютной температуры в системе СИ-градус Кельвина (Кельвин, К). Конкретные измерения абсолютной температуры осуществляются с помощью набора спец. термометров (подробнее см. Термометры, Термометрия).

Согласно строгой формулировке второго начала термодинамики (аксиоматика Каратеодори), абсолютная Температура вводится как интегрирующий делитель для бесконечно малого кол-ва теплоты dQ, полученного системой, обладающей внутренней энергией Е, в обратимом процессе. Величина dQ/T является полным дифференциалом ф-ции состояния S, наз. энтропией. Абсолютная температура выражается соотношением:


X1, X2, Х3, ...-экстенсивные термодинамич. переменные (объем V, электростатич. индукция D, магн. индукция В и т.п.). Абсолютная температура и эмпирическая температура q связаны аналит. зависимостью для систем, у которых E является ф-цией только Ти V:


Аналит. связь p, и Т для фазы наз. уравнением состояния. В статистической термодинамике аналогом ур-ния (1) служит соотношение:


где W— термодинамич. вероятность, k-постоянная Больц-мана. Термодинамич. вероятность W(E)равна числу возможных состояний системы, при которых последняя обладает внутр. энергией Е. Термодинамич. вероятность связана с энтропией соотношением Больцмана S = kln W. Для обычной макроскопич. системы величина W- быстро возрастающая ф-ция Е и, следовательно, абсолютная температура положительна.

Термич. равновесие двух систем А и В (EА + ЕB = const), определяемое равенством температур TА = ТB, соответствует наиб. вероятному распределению энергии между А и В. Если В представляет собой обширный тепловой резервуар (ЕВ >> EА), то абсолютная Температура определяет плотность вероятности Р(Е) для системы А находиться в состоянии с заданной энергией EA,r при термич. равновесии с системой В:


где, суммирование ведется по всем значениям энергии EA.r (r = 1,2,... , п) подсистемы А (канонич. распределение Гиббса). Частными случаями канонич. распределения являются распределения молекул идеального газа по энергиям и скоростям (распределения Больцмана и Максвелла).

Важные физ. постоянные вещества-его температура кипения, плавления, фазовых переходов. полиморфных превращений, а также критическая Температура (см. Критическое состояние), тройные точки.

Практически все физ.-хим. величины зависят от температуры. Важными примерами являются температурные зависимости:

1) константы скорости хим. реакции к:


где EA-энергия активации, A-предэкспоненциальный множитель (см. Аррениуса уравнение. Константа скорости, Энергия активации).

2) Константы равновесия хим. реакции Кр:


где R-газовая постоянная, -стандартная энтальпия реакции.

3) Теплового эффекта хим. реакции при постоянном давлении (DH) и постоянном объеме (DU):

(9DН/9Т)р = DСр, (9DU/9Т)V = DСV,

где H и U-энтальпия и внутр. энергия системы, Ср и СV-теплоемкости при постоянном давлении и постоянном объеме соотв. (см. Кирхгофа уравнение).

4) Теплоты равновесного фазового перехода L:


где -изменение молярного объема при переходе вещества из фазы 1 в фазу 2 (см. Клапейрона -Клаузиуса уравнение).

5) Стандартной электродвижущей силы E0 гальванич. цепи:


где Кр(Т)-константа равновесия электродного процесса. F-Фарадея постоянная, Z-число переносимых электронов (см. Электрохимические цепи).

6) Объемной плотности rv излучения абсолютно черного тела с частотой v (ф-ла Планка):


где с-скорость света, h-постоянная Планка.

Полной объемной плотности излучения по всем частотам (закон Стефана - Больцмана):


7) Степени ионизации a газа, состоящего из атомов А:


где Ei-энергия ионизации атома, m-масса электрона; gi, gА-статистич. веса ионов и атомов (ур-ние Саха).

Понятие температуры, сформулированное для равновесного состояния системы в целом, используется и для характеристики локального термодинамич. равновесия, если система в целом неравновесна и ее Температура рассматривается как непрерывная ф-ция координат и времени. При локальном термодинамич. равновесии малые элементы объема приближенно рассматриваются как равновесные, обладающие каждый своей температурой, и учитывается обмен энергией (энтропией) между ними. Локальное термодинамич. равновесие-одно из осн. понятий термодинамики необратимых процессов. В ряде физ. задач неравновесная система м. б. разбита на подсистемы, в которых время установления термич. равновесия много меньше времени достижения равновесия системой в целом. Подобная ситуация м. б. охарактеризована тем, что каждой из подсистем соотносится своя температура, отличная от температуры других подсистем. Напр., в полупроводниках температура электронов проводимости в сильном электрич. поле много выше Температура решетки; в плазме отдельно рассматривают температуру электронов и Температура ионов.

В нач. 50-х гг. 20 в. сформулировано понятие отрицательных абсолютных температур. Такие температуры могут возникать в системах, если с ростом энергии Е термодинамич. вероятность W (или энтропия S)не возрастает, а убывает, в результате чего производная становится меньше нуля (см. ф-лы 1 и 2). Подобная ситуация реализуется для таких систем, в которых энергия Е ограничена снизу и сверху. Так, двухуровневая система, состоящая из N ядерных спинов во внеш. магн. поле (напр., ионы Li+ в кристалле LiF), имеет миним. энергию NE1, максимальную NE2, где E1 и Е2-энергии спина ядра на нижнем и верхнем уровнях. Начиная с энергии, равной N(E1 + E2)/2, термодинамич. вероятность W убывает с ростом энергии, что позволяет говорить об отрицательной Температура подсистемы (ионы Li+), но не для системы в целом. Рассматриваемая подсистема должна быть термически слабо связана с системой в целом, для которой отсутствуют ограничения по энергии.

При физ.-хим. исследованиях условно выделяют область низких температур (см. Криохимия) и область высоких температур (обычно 500-3000 К), которую рассматривают как химию высоких температур, или просто высокотемпературную химию. Температуры в интервале 500-3000 К получают методами радиационного и лазерного нагрева, электронной и ионной бомбардировки. Объекты высокотемпературной химии, как правило,-неорг. соединения. Характерными чертами высокотемпературных хим. процессов являются: 1) сравнительно малая роль констант скорости, энергий активации и температура п. кинетич. факторов, поскольку скорость реакций высока и в системе быстро устанавливается равновесие; 2) увеличение роли газовой (паровой) фазы из-за интенсивных процессов испарения; 3) необходимость учета влияния заряженных частиц-ионов и электронов, возникающих в результате термодиссоциации (см. Ионы в газах, Ионно-молекулярные реакции). Высокотемпературными процессами являются мн. металлургич. произ-ва, процессы напыления пленок, монокристаллов выращивания из газовой фазы и др.

Процессы в области температур 3000-5000 К изучаются плазмохимией.

ЛиТемпература: Кричевский И. Р., Понятия и основы термодинамики, 3 изд., М., 1962; Рей Ф., Статистическая термодинамика, пер. о англ., М., 1986.

© М. В. Коробов.





выберите первую букву в названии статьи: А Б В Г Д Е Ж З И К Л М Н О П Р С Т У Ф Х Ц Ч Ш Щ Э Ю Я


Все новости



Новости компаний

Все новости


© ChemPort.Ru, MMII-MMXXIV
Контактная информация