новости бизнеса
компании и предприятия
нефтехимические компании
продукция / логистика
торговый центр
ChemIndex
новости науки
работа для химиков
химические выставки
лабораторное оборудование
химические реактивы
расширенный поиск
каталог ресурсов
электронный справочник
авторефераты
форум химиков
подписка / опросы
проекты / о нас


контакты
поиск
   

главная > справочник > химическая энциклопедия:

ТОНКИЕ ПЛЕНКИ


выберите первую букву в названии статьи: А Б В Г Д Е Ж З И К Л М Н О П Р С Т У Ф Х Ц Ч Ш Щ Э Ю Я

ТОНКИЕ ПЛЕНКИ, твердые или жидкие (реже-газообразные) слои между макроскопич. фазами, толщина которых соизмерима с расстоянием действия поверхностных сил. Имеют особые (в сравнении с объемной фазой, из которой образовалась тонкие пленки) состав, структуру и термодинамич. характеристики; в пределе переходят в поли-, би- или монослои (см. Мономолекулярный слои). Различают симметричные тонкие пленки, разделяющие фазы одинакового состава, и несимметричные тонкие пленки, образующиеся, например, при растекании жидкости по твердой или жидкой пов-сти (смачивающие пленки).

Твердыми тонкие пленки являются оксидные пленки на пов-сти металлов и искусственные пленочные покрытия, формируемые на разл. материалах с целью создания приборов микроэлектроники, предотвращения коррозии, улучшения внеш. вида и тонкие пленки Жидкие тонкие пленки разделяют газообразную дисперсную фазу в пенах и жидкие фазы в эмульсиях; образование устойчивых пен и эмульсий возможно только при наличии ПАВ в составе тонкие пленки Жидкие тонкие пленки могут возникать самопроизвольно между зернами в поликристаллич. твердых телах. если поверхностная энергия границы зерна превышает поверхностное натяжение на границе твердой и жидкой фаз более чем вдвое (условие Гиббса-Смита). Газообразные тонкие пленки с заметным временем жизни могут возникнуть между каплей и объемной жидкостью в условиях испарения.

Изучение тонкие пленки разл. типов, в частности определение их толщины, обычно проводят методами, основанными на измерении интенсивности отраженного света (см. Эллипсо-метрия). При наблюдении жидких тонкие пленки в отраженном свете обнаруживаются интерференц. полосы в окружающем пленку пространстве-области вдоль стыка пленок, наз. каналом Гиббса-Плато (см. рис.); расположение этих полос позволяет определить другую важную характеристику тонкие пленки-контактный угол q, равный половине угла, под которым сходятся пов-сти мениска в области контакта пленки с макроскопич. фазой или др. пленками. Используют также электрич. методы - определение емкости и проводимости тонкие пленки, главным образом обратных эмульсионных пленок, разделяющих два объема водного раствора. Для изучения твердых тонкие пленки применяют электронную микроскопию. рентгеновскую спектроскопию и др. методы, разработанные для исследования пов-сти твердых тел.

Сечение цилиндрич. тонкой пленки, находящейся в контакте с мениском объемной фазы. h-толщина пленки, R-радиус, q-контактный угол, Рв - капиллярное давление 6 канале Гиббса-Плато.


Термодинамика тонкие пленки (преим. жидких) основана на идее Гиббса об изменении в них свойств вещества по мере уменьшения толщины пленки h. Эти изменения м. б. охарактеризованы взаимосвязанными величинами: натяжением пленки sпл, т. е. удельной (на единицу длины контура) стягивающей силой, избыточным натяжением Dsпл, расклинивающим давлением

П, контактным углом q. Для симметричных пленок выполняется соотношение:


где s-поверхностное натяжение на границе раздела объемной фазы (толстой пленки) того же состава, что и тонкие пленки, с внеш. фазой. Разл. составляющие расклинивающего давления (дисперсионная, электростатич., адсорбционная и др.) в сочетании могут определять сложную форму изотермы П(h) и возникновение метастабильно-равновесных состояний, в которых тонкие пленки может существовать не утолщаясь и не прорываясь. Условием таких состояний является выполнение соотношений:

П(h) + Ps = 0; dП/dh<0,

где Ps < 0-капиллярное давление, создаваемое вогнутой пов-стью канала Гиббса-Плато.

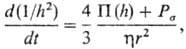
Кинетика приближения тонкие пленки к метастабильно-равновес-ному состоянию - зависимость толщины тонкие пленки от времени t-в первом приближении м.б. описана ур-нием Рей-нольдса-Шелудко:


где r-радиус цилиндрич. участка пленки вблизи канала Гиббса-Плато, h-вязкость дисперсионной среды. Это ур-ние справедливо, если тонкие пленки при утоньшении остается плоской и при вытекании из нее дисперсионной среды (жидкости или газа) в каналы Гиббса-Плато не происходит движения адсорбционных слоев; рассмотрение утоныпения тонкие пленки в более общем случае является сложной задачей физико-химической гидродинамики. В некоторых случаях образование тонкие пленки сопровождается возникновением хорошо выраженного утолщения (линзочки) в ее центральной части-т. наз. димпла.

В зависимости от состава (хим. природы ПАВ, валентного типа и концентрации электролитов) толщины тонкие пленки, отвечающие ее метастабильно-равновесному состоянию, могут отличаться; соотв. различаются и время жизни тонкие пленки в этом состоянии, и цвет тонкие пленки в отраженном свете. Обычно выделяют сравнительно малоустойчивые серые (иногда цветные) тонкие пленки с толщиной в неск. десятков нм, более тонкие (примерно 7-15 нм) пленки черного цвета (черные пленки) и т. наз. ньютоновские черные пленки (толщина 3-5 нм), которые иногда наз. вторичными черными пленками. Так, стабилизированные ПАВ водные тонкие пленки пен и прямых эмульсий бывают цветными или серыми при концентрации NaCl в дисперсионной среде до 10-3 М, обычными черными при концентрации менее 0,3 М и ньютоновскими черными при более высоких концентрациях электролита. Св-ва обычных черных водных пленок хорошо описываются теорией ДЛФО (см. Дисперсные системы); ньютоновские черные пленки представляют собой бислои ПАВ, иногда с малой по толщине прослойкой дисперсионной среды между монослоями.

Изучение тонкие пленки дает важную информацию о природе сил взаимодействия между частицами дисперсной фазы. С образованием черных пленок связана обычно высокая устойчивость пен и эмульсий. К ньютоновским черным пленкам в обратных эмульсиях близки по строению биол. мембраны, поэтому изучение бимолекулярных слоев ПАВ и образованных ими липосом и везикул позволяет выяснить механизм функционирования биол. мембран. Получение тонкие пленки и тонкопленочных покрытий лежит в основе ряда совр. областей техники, таких, как мембранная технология, создание полупроводниковых приборов и др.

Лит.: Кругляков П.М., Ровин Ю.Г., Физико-химия черных углеводородных пленок, М., 1978; Дерягин Б.В., Чураев Н.В., Смачивающие пленки, М., 1984. А. В. Перцов.




выберите первую букву в названии статьи: А Б В Г Д Е Ж З И К Л М Н О П Р С Т У Ф Х Ц Ч Ш Щ Э Ю Я


Все новости



Новости компаний

Все новости


© ChemPort.Ru, MMII-MMXXIV
Контактная информация