новости бизнеса
компании и предприятия
нефтехимические компании
продукция / логистика
торговый центр
ChemIndex
новости науки
работа для химиков
химические выставки
лабораторное оборудование
химические реактивы
расширенный поиск
каталог ресурсов
электронный справочник
авторефераты
форум химиков
подписка / опросы
проекты / о нас


контакты
поиск
   

главная > справочник > химическая энциклопедия:

ФЕНИЛИН


выберите первую букву в названии статьи: А Б В Г Д Е Ж З И К Л М Н О П Р С Т У Ф Х Ц Ч Ш Щ Э Ю Я

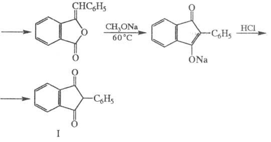
ФЕНИЛИН (2-фенил-1,3-индандион, ф-ла I), мол. м. 222,24; бесцв. или кремовые кристаллы. т. пл. 148-151 0C; практически не раств. в воде. плохо раств. в этаноле. диэтиловом эфире. хорошо - в бензоле. хлороформе. CCl4. При стоянии на свету темнеет, под действием щелочных агентов приобретает красноватую окраску вследствие енолизации. фенилин получают по схеме:



фенилин- активный непрямой антикоагулянт крови, приводит к нарушению образования протромбина в печени и уменьшает содержание разл. факторов свертывания крови, является антагонистом витамина К. Действует медленно и продолжительно. Применяют фенилин при лечении тромбозов, тромбофлебитов и др.

Л. H. Койков.




выберите первую букву в названии статьи: А Б В Г Д Е Ж З И К Л М Н О П Р С Т У Ф Х Ц Ч Ш Щ Э Ю Я


Все новости



Новости компаний

Все новости


© ChemPort.Ru, MMII-MMXXIV
Контактная информация