новости бизнеса
компании и предприятия
нефтехимические компании
продукция / логистика
торговый центр
ChemIndex
новости науки
работа для химиков
химические выставки
лабораторное оборудование
химические реактивы
расширенный поиск
каталог ресурсов
электронный справочник
авторефераты
форум химиков
подписка / опросы
проекты / о нас


контакты
поиск
   

главная > справочник > химическая энциклопедия:

БУХЕРЕРА РЕАКЦИИ


выберите первую букву в названии статьи: А Б В Г Д Е Ж З И К Л М Н О П Р С Т У Ф Х Ц Ч Ш Щ Э Ю Я

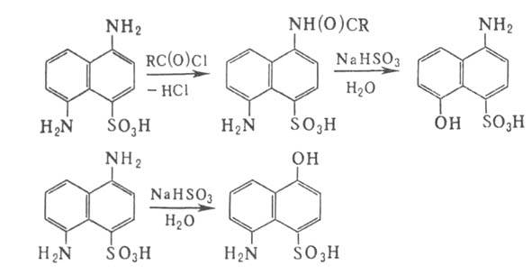
БУХЕРЕРА РЕАКЦИИ. 1) Замещение группы ОН на NH2 в ароматич. соед. (гл. обр. в нафтолах) действием NH3 и водных р-ров гидросульфитов при 90-180°С (наз. также реакцией Бухерера-Лепти), например:

Р-ция обратима: при нагр. нафтиламинов с гидросульфитами образуются нафтолы. В реакцию вступают только соед., способные к кето-енольной таутомерии. в т. ч. производные гидрохинона и резорцина.

У производных хинолина и изохинолина обмениваются группы ОН (или NH2), находящиеся только в бензольном кольце. Использование в реакции с нафтолами сульфита гидразина позволяет получать нафтилгидразины. В более жестких условиях гидроксил м. б. замещен на алкиламино-или диалкиламиногруппы. Особенно реакционноспособны 1-гидроксинафталин-4-сульфокислоты; нафтолы с группами СООН или SO3H в орто- и мета-положениях в р-цию не вступают. Влияние этих заместителей используют для селективного замещения только одной из групп в диамино-или дигидооксинафталинах, например:

Р-цию применяют в синтезе красителей. Впервые реакция описана Р. Лепти в 1903 и развита как синтетич. метод Г. Бухерером в 1904.

Лит.: Дрейк Н., в кн.: Органические реакции, пер. с англ., сб. 1, М, 1948, с. 133-62; Ворожцов Н. Н., Основы синтеза промежуточных продуктов и красителей, М., 4 изд., 1955, с. 405.

2) Синтез бензокарбазолов взаимод. нафтолов с фенилгидразином и NaHSO3:

Из нафтолов первоначально образуется аддукт (I), из нафтолов - сразу соед. типа (II), причем в первом случае образуется 1,2-, во втором - 3,4-бензокарбазолы. Вместо нафтолов м. б. использованы нафтиламины. Аналогично фенилгидразину реагируют н-толил-, и нафтилгидразины, а также N,N-дизамещенные гидразины. Р-ция открыта Г. Бухерером в 1908.

3) Получение 5-замещенных гидантоинов последовательной обработкой альдегидов или кетонов синильной кислотой и (NH4)2CO3 (этот синтез наз. также реакцией Бухерера-Бергса):

Кетоны реагируют быстрее альдегидов, вместо которых удобно использовать их гидросульфитные производные. Вместо HCN можно применять NaCN или KCN. Взаимод. кетонов или аминонитрилов с CS2 получают 2,4-дитиотидантоины. Р-цию применяют для идентификации карбонильных соед., а также для синтеза аминокислот (гидролизом гидантоинов).

Р-ция открыта Г. Бергсом в 1929 и позднее подробно изучалась Г. Бухерером.

Лит.: Chubb F. [а.о.], "J. of Org. Clicm.", 1980, v. 45, № 12, p. 2315-20; SacripanteG., Edward J., "Canad. J. Chcm.", 1982, v. 60, № 15, p. 1982-87. Д.И. Махонькое.




выберите первую букву в названии статьи: А Б В Г Д Е Ж З И К Л М Н О П Р С Т У Ф Х Ц Ч Ш Щ Э Ю Я


Все новости



Новости компаний

Все новости


© ChemPort.Ru, MMII-MMXXIV
Контактная информация