новости бизнеса
компании и предприятия
нефтехимические компании
продукция / логистика
торговый центр
ChemIndex
новости науки
работа для химиков
химические выставки
лабораторное оборудование
химические реактивы
расширенный поиск
каталог ресурсов
электронный справочник
авторефераты
форум химиков
подписка / опросы
проекты / о нас


контакты
поиск
   

главная > справочник > химическая энциклопедия:

Азокрасители


выберите первую букву в названии статьи: А Б В Г Д Е Ж З И К Л М Н О П Р С Т У Ф Х Ц Ч Ш Щ Э Ю Я

Азокрасители, характеризуются наличием в молекуле одной или неск. азогрупп —N=N—, связывающих остатки ароматич. или гетероароматич. соед. друг с другом или с остатками соед., имеющих активные СН2-группы. Молекулы содержат также электронодонорные заместители, например ОН, NH2, N(CH3)2, OCH3, NHCOCH3, чаще всего вместе с электроноакцепторными (NO2, CN, SO2CH3 и т.п.) и (или) атомами галогенов, реже-только электроноакцепторные. Получают азокрасители способами, общими для всех азосоединений, главным образом азосочетанием.

По числу азогрупп в молекуле различают моно-, дис-и полиазокрасители (соотв. моно-азокрасители, дис-азокрасители, поли-азокрасители). Цвет моно-азокрасителя определяется хим. строением связанных азогруппой остатков (различающихся структурой и размерами электронной сопряженной системы), числом и положением в них заместителей. Наиб. практически важные моно-азокрасители, содержащие один электронодонорный заместитель, имеют след. цвета: желтый-производные бензолазоацетоацетарилидов, пиразолоназобензола и азобензола, например пигмент желтый светопрочный (ф-ла I), жирорастворимый желтый 3 (II); оранжевый и красный-производные соотв. нафталиназобензола и азонафталина, например кислотный

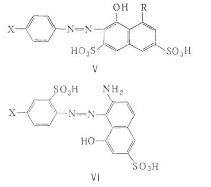
оранжевый (III) и кислотный красный 2С (IV). Углубление цвета достигается увеличением -электронной системы и усилением ее поляризации след. способами: заменой электронодонорных заместителей на более сильные или введением дополнит. заместителей (напр., как в моно-азокрасителях общей ф-лы V; см. ниже); введением электроноакцепторных заместителей в остаток диазосоставляющей (VI); применением в качестве диазосоставляющей аминов гетероциклич. ряда. Моно-азокрасители общей ф-лы V могут иметь оранжево-красный (X = Н, R = Н), ярко-красный (X = Н, R = = NHCOCH3), синевато-красный (X = Н, R = NH2), красно-фиолетовый (X = CH3CONH, R = OH), фиолетовый (X = = NH2, R = OH) и голубой [X = (CH3)2N, R = ОН] цвета; моно-азокрасители общей ф-лы VI-рубиновый (X = NH2) и фиолетовый (X = NO2).

Цвет дис- и поли-азокрасителей зависит также от наличия сопряжения между азогруппами. Возникновение единой сопряженной системы углубляет цвет по сравнению с цветом каждого моно-азокрасителя, остаток которого входит в состав дис- и поли-азокрасителей и который образован из тех же исходных компонентов, взятых в том же порядке, что и при получении последних, а также по сравнению с цветом смеси этих моно-азокрасителей. Напр., дис-азокрасители (ф-ла VII) - aлoгo цвета; моно-азокрасители - желтого (VII, а; содержит в положении 4' группу NH2) и оранжевого (VII, о) цветов, смесь их - желто-оранжевого цвета. Обычно цвет поли-азокрасителя углубляется при увеличении числа сопряженных азогрупп до 4; при большем числе азогрупп цвет повышается из-за нарушения плоскостности молекулы (увеличение углов поворота вокруг простых связей Аг—N при удлинении молекулы), приводящего к нарушению сопряжения.

Во многих дис- и поли-А. цепь сопряжения разорвана, например, как в красителях типа ArN=NAr'—X— —Ar"N=N—Аг'", где X = О, S, CH2, CONH и т.п. или отсутствует (поворот Аr' и Аr" делает молекулу неплоской). Части молекулы, разделенные фрагментом X, поглощают свет независимо друг от друга. Цвет таких красителей приблизительно соответствует цвету смеси А., которые могли бы образоваться при разрыве молекулы по X. Напр., поли-азокрасители VIII окрашен в зеленый цвет, соответствующий смеси составляющих его желтого моно-азокрасителя и темно-синего дис-А.

В зависимости от растворимости, хим. природы и особенностей взаимод. с окрашиваемыми материалами азокрасители делят на след. группы:

1. Пигменты (азопигменты) - главным образом моно-азокрасители и дис-азокрасители (напр., I); не содержат кислотных (SO3H, COOH), основных [NH2, (CH3)2N или др.], ониевых [(СН3)2 и др.] групп и поэтому не раств. в воде; высокопрочные пигменты не раств. также в большинстве орг. растворителей и пластмассах. Как правило, молекулы пигментов содержат NO2, Cl, CH3, CH3O, (C2H5)2NSO2 и др. заместители. Иногда пигменты наносят на минер. субстраты, например А1(ОН)3, BaSO4, мел, часто с добавками минер. наполнителей для понижения интенсивности окраски.

2. Жиро-, спирто- и ацетонорастворимые азокрасители (напр., II) по хим. строению аналогичны пигментам, но обычно не содержат NO2 и Cl; не раств. в воде, хорошо раств. в орг. растворителях, моторных топливах, жирах, маслах и т.п.

3. Дисперсные азокрасители - обычно моно-А.; плохо раств. в воде, раств. в орг. р-рителях и полимерах.

4. Основные и катионные азокрасители содержат в молекуле основные или ониевые группы, например красный А (IX); раств. в воде с образованием цветных катионов.

5. Кислотные азокрасители - чаще всего моно-азокрасители и дис-азокрасители, содержащие одну или неск. групп SO3H, например красители ф-л III и IV; раств. в воде с образованием цветных анионов.

6. Лаки (азолаки)-не растворимые в воде соли (обычно Ва или Са) некоторых кислотных А. Применяются для тех же целей, что и пигменты.

7. Хромовые (протравные) А. характеризуются наличием групп SO3H (реже СООН), придающих растворимость в воде, и в орто-орто'-положениях к азогруппе - групп ОН, NH2 или СООН, которые при крашении могут образовывать с Сr3+ внутрикомплексные соединения; пример-хромовый сине-черный (X). В некоторых хромовых А. группы ОН и СООН содержатся в одном ароматич. ядре в орто-положении друг к другу. При крашении хромовыми А. белковых волокон атом Сr связывает в комплекс молекулы А. и белка (напр., кератина шерсти) по его функц. группам (СООН, ОН, NH2), в результате чего возрастает устойчивость окрасок.

8. Прямые азокрасители-в основном дис-азокрасители и поли-азокрасители, например прямой ярко-оранжевый (XI). Обладают сродством к целлюлозным волокнам благодаря ван-дер-ваальсовому взаимод. и водородным связям между группами красителя (ОН и NH2, атомы N гетероциклов и особенно NH—СО) и группами ОН целлюлозы.

9. Активные азокрасители обычно раств. в воде; содержат группировки, которые при крашении вступают в хим. реакцию с молекулами субстрата, с образованием ковалентных связей, благодаря чему окраски устойчивы к мокрым обработкам и трению.

10. Азогены-нерастворимые А., образующиеся непосредственно на волокне сочетанием диазосоединений с азосо-ставляющими.

11. Металлсодержащие А.-внутрикомплексные соединения А. с Сu2+ , Сr3+ , Со3+, реже с Ni2 + и Fe2+. Исходные азокрасители содержат группировки, характерные для хромовых азокрасителей По свойствам и способам применения относятся к кислотным, дисперсным, активным и прямым красителям. Окраски отличаются повышенной светостойкостью и другими ценными свойствами.

А. включают представители всех цветов и оттенков и почти всех групп по техн. применению, просты в произ-ве и применении и относительно дешевы. На их долю приходится более половины всех производимых красителей по ассортименту и примерно 25-50% (в разных странах) по тоннажу. Применяются А. для крашения прир. и синтетич. волокон, кожи, бумаги, резины, пластмасс, как пигменты для лаков и красок, при изготовлении цветных карандашей и др.

Лит. см. при ст. Азосоединения. © Б.И.Степанов.

Лит.: нет данных


выберите первую букву в названии статьи: А Б В Г Д Е Ж З И К Л М Н О П Р С Т У Ф Х Ц Ч Ш Щ Э Ю Я


Все новости



Новости компаний

Все новости


© ChemPort.Ru, MMII-MMXXIV
Контактная информация