новости бизнеса
компании и предприятия
нефтехимические компании
продукция / логистика
торговый центр
ChemIndex
новости науки
работа для химиков
химические выставки
лабораторное оборудование
химические реактивы
расширенный поиск
каталог ресурсов
электронный справочник
авторефераты
форум химиков
подписка / опросы
проекты / о нас


контакты
поиск
   

главная > справочник > химическая энциклопедия:

АЗОКСИСОЕДИНЕНИЯ


выберите первую букву в названии статьи: А Б В Г Д Е Ж З И К Л М Н О П Р С Т У Ф Х Ц Ч Ш Щ Э Ю Я

АЗОКСИСОЕДИНЕНИЯ, имеют общую формулу

где R и R' - opг. радикалы. Существуют в виде двух изомеров:

цис-Изомер транс-Изомер

циc-Изомеры менее устойчивы и при нагр. переходят в транс-форму. Для несимметричных А. возможна изомерия положения: R (O~)=NR' и RN= (O~)R'.

Хорошо изучены лишь ароматич. А.-обычно желтые кристаллы нейтрального характера. Простейший представитель-аз о к си бензол (R = R' = С6Н5): т. пл. 36 °С; d420 1,246; nD201,6644; раств. в спирте (17,5 г в 100 г при 16СС), эфире, лигроине.

В ИК-спектрах А. имеется сильная полоса валентных колебаний N—О при частотах 1310-1250 см -1, в электронных спектрах алифатич. А.-полоса -перехода средней интенсивности в области 220 нм и малоинтенсивная полоса п -перехода в области 250-290 нм. Сопряжение с ароматич. кольцами сдвигает полосы поглощения ароматич. А. в длинноволновую область, причем полосы и -переходов обычно перекрываются более интенсивными полосами -переходов.

В мягких условиях, а также электрохимически А. восстанавливаются в азосоединения RN—NR', в более жестких условиях [напр., действием (МН4)25] - в гидразосоединения RHN—NHR' и далее с расщеплением связи N—N в первичные амины RNH2 и R'NH2. А. способны к электроф. замещению, напр.: С6Н5 (O-)=NC6H5 + Вr+ С6Н5 (O-)=NC6H4Br + H + . Электрофил вступает в ядро, связанное с атомом N, несущим неподеленную пару

электронов. Поэтому, например, изомер ф-лы I бромируется ( создает повыш. электронную плотность в ядре и свободно наиб. выгодное пара-положение), а изомер ф-лы II-нет. При нагр. в кислой среде ароматич. А. претерпевают термич. перегруппировку с образованием и-гидроксиазосоединений (перегруппировка Валлаха): С6Н5 (—O-)=МС6Н5 n-HOC6H4N=NC6H5, а при облучении ртутной лампой-перегруппировку с образованием о-гидроксиазосоединений, напр.:

А. получают: окислением азосоединений в мягких условиях, напр, под действием H2O2:RN=NR + [О] + R (—O~)=NR (в случае несимметричных азосоединений образуется смесь изомеров положения); восстановлением нитросоединений в щелочной среде действием CH3ONa, As2O3 или др.:

взаимод. нитрозосоединений с замещенными гидроксиламина по схеме предыдущего способа (в случае разл. R образуются изомеры положения).

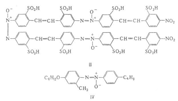
Некоторые ароматич. А. применяют как красители, например прямой желтый К. (ф-ла III), а также как активные компоненты жидких кристаллов, например соед. ф-лы IV:

Лит.: Общая органическая химия, пер. с англ., т. 3, М., 1982, с. 207 и посл. Б. И. Степанов.




выберите первую букву в названии статьи: А Б В Г Д Е Ж З И К Л М Н О П Р С Т У Ф Х Ц Ч Ш Щ Э Ю Я


Все новости



Новости компаний

Все новости


© ChemPort.Ru, MMII-MMXXIV
Контактная информация