новости бизнеса
компании и предприятия
нефтехимические компании
продукция / логистика
торговый центр
ChemIndex
новости науки
работа для химиков
химические выставки
лабораторное оборудование
химические реактивы
расширенный поиск
каталог ресурсов
электронный справочник
авторефераты
форум химиков
подписка / опросы
проекты / о нас


контакты
поиск
   

главная > справочник > химическая энциклопедия:

БЕНЗОТИОФЕНЫ


выберите первую букву в названии статьи: А Б В Г Д Е Ж З И К Л М Н О П Р С Т У Ф Х Ц Ч Ш Щ Э Ю Я

БЕНЗОТИОФЕНЫ, мол. м. 134,2; бесцв. кристаллы. Существуют в виде двух изомеров - бензо [в] тиофена (ф-ла I) и бензо [с] тиофена (II).

Для бензо [в] тиофена (тионафтена) т. пл. 31,34°С (пикрата 149°С), т. кип. 219,9°С, 103-105°С/20 мм рт. ст.; d440 1,1937, nD20 1,6302. Он хорошо раств. в орг. растворителях, плохо-в воде; 2,06*10-30 Кл*м (бензол). Обладает ароматич. с веществами. Электроф. замещение идет главным образом в положения 3 и 2 (реакц. способность др. положений уменьшается в ряду 6 > 5 > 4 > 7). Металлирование с помощью C4H9Li идет в положение 2. Электронодонорные заместители в положении 2 или 3 направляют замещение в соседнее положение, электроноакцепторные - в бензольное кольцо. Введение одной или двух алкоксигрупп в бензольное кольцо значительно облегчает ацилирование и направляет его в положение 2. При взаимод. с Na в жидком NH3 образуется о-этилтиофенол, с никелем Ренея - этилбензол. Сильные алкилирующие ср-ва алкилируют по S с образованием солей бензотиофения. Бензо [в] тиофены с группой NH2 во 2 или 3 положении мало устойчивы. Обычно их выделяют в виде солей или N-ацильных производных. 2- и 3-Гидрохсибензотиофены существуют только в виде оксопроизводных.

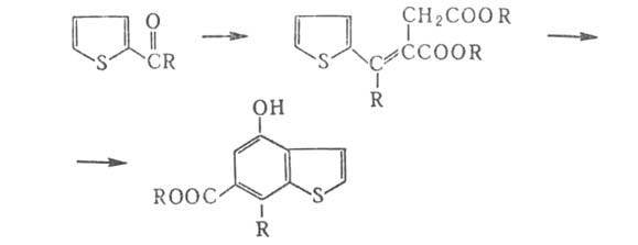
Бензо [в] тиофен и его алкильные производные обнаружены в сланцевых маслах, кам.-yr. смоле и нефтях. Его получают взаимод. стирола с H2S при 600 °С. Бензо [в] тиофен и его производные синтезируют циклизацией сульфидов PhSCH(R)COR' (R=H, Alk; R'= ОН, OAlk, Alk, Ar), взаимод. коричных к-т с SOC12:

аннелированием бензольного кольца к тиофеновому, например:

р-цией S с экзогалогенопроизводными алкилбензолов, например:

Бензо [в] тиофен используют как добавку к электролиту при никелировании; бензо [в]тиофен-3(2H)-он и его производные (тиоиндоксилы) применяют в синтезе тиоинди-гоидных красителей.

Бензо [с] тиофен (изобензотиофен) - вещество с сильным запахом нафталина; т. пл. 50-51 °С. Разлагается уже при — 30 °С в атмосфере N2. Нестабильность обусловлена повыш. электронной плотностью у углеродных атомов в положениях 1 и 3 (1,3-замещенные Б. устойчивы). Легко образует аддукты с малеиновым ангидридом и др. диенофилами. Получают его из 1,3-дигидробензо [с] тиофена, который в свою очередь синтезируют из о-ксилолдибромида или фталевого тиоангидрида:

Лит.: Hartough H. D.. Meisel S. Н.. в кн.: Compounds with condensed thiophene rings, N.Y.. 1954, p. 17-224; Iddon В., Scrowston R. M., в кн.: Advances in heterocyclic Chemistry, v. 11. N.Y.-Z.. 1970, p. 177-381. В. И. Шведов.




выберите первую букву в названии статьи: А Б В Г Д Е Ж З И К Л М Н О П Р С Т У Ф Х Ц Ч Ш Щ Э Ю Я


Все новости



Новости компаний

Все новости


© ChemPort.Ru, MMII-MMXXIV
Контактная информация