новости бизнеса
компании и предприятия
нефтехимические компании
продукция / логистика
торговый центр
ChemIndex
новости науки
работа для химиков
химические выставки
лабораторное оборудование
химические реактивы
расширенный поиск
каталог ресурсов
электронный справочник
авторефераты
форум химиков
подписка / опросы
проекты / о нас


контакты
поиск
   

главная > справочник > химическая энциклопедия:

БИШЛЕРА РЕАКЦИЯ


выберите первую букву в названии статьи: А Б В Г Д Е Ж З И К Л М Н О П Р С Т У Ф Х Ц Ч Ш Щ Э Ю Я

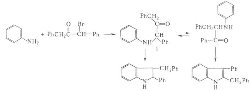
БИШЛЕРА РЕАКЦИЯ (Бишлера-Мёлау реакция), получение замещенных индолов взаимод. галоген- или гидроксикетонов с ариламинами с послед. циклизацией образующихся ариламинокетонов в присут. кислотного катализатора, например:

где R = CH3, С2Н5, ОСН3; R' = H, Alk; R", R'"=Alk, Ph, С6Н4СН3_n, С6Н4ОСН3_n. Процесс осуществляют при температуре ок. 150°С. Катализаторы-НС1 или кислоты Льюиса. В случаях, когда R" не равно R'", как правило, образуется смесь двух изомерных индолов. Это происходит из-за изомеризации промежуточно образующегося ариламинокетона (см. ф-лу I), быстро протекающей под действием кислот и при нагревании, например:

Р-ция открыта Р. Мёлау в 1881, позднее подробно изучалась А. Бишлером.

Лит.: Пакетт Л., Основы современной химии гетероциклических соединений, М., 1971, с. 147-48; Общая органическая химия, пер. с англ., т. 8, М., 1985, с. 550;Sundberg R., The chemistry of indoles, N. Y., 1970, p. 164-71; Galons H. [e.o.], "J. of Heterocyclic Chem.", 1981, v. 18, № 3, p. 561-63. Г.Л. Мищенко.




выберите первую букву в названии статьи: А Б В Г Д Е Ж З И К Л М Н О П Р С Т У Ф Х Ц Ч Ш Щ Э Ю Я


Все новости



Новости компаний

Все новости


© ChemPort.Ru, MMII-MMXXIV
Контактная информация