новости бизнеса
компании и предприятия
нефтехимические компании
продукция / логистика
торговый центр
ChemIndex
новости науки
работа для химиков
химические выставки
лабораторное оборудование
химические реактивы
расширенный поиск
каталог ресурсов
электронный справочник
авторефераты
форум химиков
подписка / опросы
проекты / о нас


контакты
поиск
   

главная > справочник > химическая энциклопедия:

ГАЛОГЕНФОСФИНЫ


выберите первую букву в названии статьи: А Б В Г Д Е Ж З И К Л М Н О П Р С Т У Ф Х Ц Ч Ш Щ Э Ю Я

ГАЛОГЕНФОСФИНЫ, соед. общей ф-лы RnPHal3_n, где и= 1,2; R-opг. радикал. Молекулы имеют пирамидальную форму; углы связей у Р составляют 98-102° (см. также табл. 1).

Табл. 1.-УСРЕДНЕННЫЕ ХАРАКТЕРИСТИКИ СВЯЗЕЙ ФОСФОРА С ГАЛОГЕНАМИ В ГАЛОГЕНФОСФИНАХ

Табл. 2-СВОЙСТВА ГАЛОГЕНФОСФИНОВ

Свойства. Большинство Г.-жидкости (табл. 2) с характерным неприятным запахом; хорошо раств. в орг. растворителях. Диапазон хим. сдвигов в спектре ЯМР 31Р относительно 85%-ной Н3РО4 от 0 до 250 м.д.

Г.-слабые основания. Реагируют с веществами, имеющими в молекуле гидроксильную группу; в мягких условиях с водой образуют кислоты RPH(O)OH или R2P(O)H. Легко окисляются [напр., CH3PF2 и (СН3)2РС1 на воздухе воспламеняются]. Для окисления Г. в галогенангидриды фосфоновых или фосфиновых кислот используют О2, NO2, SO2C12. Сера и некоторые ее соед. окисляют Г. до веществ, содержащих связь P=S.

Многие Г. образуют сравнительно устойчивые комплексы с переходными металлами, напр.:

Связь металл-Р наиб. короткая и прочная в комплексах с фторфосфинами. Галогены, сульфенхлориды, сульфенамиды, хлорамины взаимод. с Г., образуя фосфораны:

(иногда Hal внедряется в углеводородный радикал). При взаимод. Г. с нуклеоф. реагентами могут образовываться соед. с различным координац. числом атома Р, например:

Г. взаимод. с альдегидами и кетонами с образованием галогеналкильных производных четырехкоординац. фосфора, с галогенангидридами карбоновых к-т - с образованием гидроксиалкильных, с иминами - аминоалкильных, напр.:

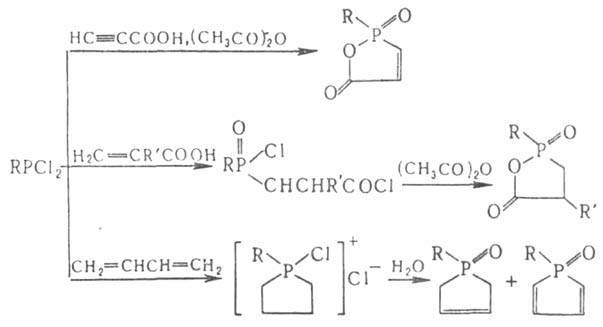
С ненасыщ. карбоновыми кислотами или диенами Г. дают фосфинаты и фосфиноксиды, в т.ч. циклич. структуры, например:

При восстановлении Г. образуются фосфины, циклопелифосфины или дифосфины, например:

Соед. двух последних типов получаются также при разложении алкилфторфосфинов в процессе их хранения или при взаимод. Г. с фосфинами.

Получение и применение. наиб. разработаны методы синтеза алкил(арил)дихлорфосфинов и перфторалкилиодфосфинов. Метилдихлорфосфин получают с использованием алюминийорг. соед., например:

Возможно также использование др. металлоорганических соединений, например: РС13 + (С2Н5)4Рb -> С2Н5РС12 (выход 96%).

Важное значение имеет высокотемпературный (~ 600 °С) синтез алкилдихлорфосфинов в газовой фазе при взаимод. РС13 с алканами. Процесс катализируется О2 и ингибируется непредельными углеводородами; выход в расчете на прореагировавший РС13 достигает 80%. Алкилдихлорфосфины с удовлетворительными выходами можно получить также при пропускании углеводородов над РС15, нагретым до 500-650 °С.

Ок. 200 °С в присутствии Р олефины реагируют с РС13 с образованием бис-(дихлорфосфино)алканов с выходом 20-70%. Преимущественно дигалогенфосфины образуются: при пропускании паров хлористых или бромистых алкилов над красным Р при 260-400 °С (кат.-Сu, CuHal); при взаимод. арил- или аралкилгалогенидов с Р (без катализатора); в реакциях белого Р с RHal в среде РС13 (кат.-I2 или Вr2). Нагреванием белого Р с СС14 получают СС13РС12; при использовании СС13Вr вместо СС14 образуются соед. со связями Р—Р. Полифторалкилиодфосфины (RF)nPI3_n получают взаимод. полифториодалканов с красным Р в присутствии I2 при 200-250 °С, алхилполифторалкилгалогенфосфины - алкилированием полифосфинов: (RP)n RR'PHal (R,R'-Alk, полифторалкил; Hal-I, Br).

Г. с ароматич. радикалами получают по реакции Фриделя-Крафтса, например:

или взаимод. галогенидов трехвалентного Р с тетрафторборатами арилдиазония, напр.:

Г. можно синтезировать также восстановлением галогенидов четырех- или пятикоординац. Р или с использованием реакций замещения к.-л. группы на атом галогена, например:

Для замены атомов одного галогена на атомы другого используют реакции:

Г.-один из наиб. изученных классов фосфорорг. соединений. Их применяют в синтезе огнестойких пропиток текстильных материалов, инсектицидов, лек. препаратов, экстрагентов, катализаторов, антиоксидантов, модификаторов полимеров и др. См. также Диметилхлорфосфин, Метилдихлорфосфин.

Лит.: П у рдела Д., Вы л чану Р., Химия органических соединений фосфора, пер. с рум., М., 1972, с. 68-162; Houben-Weyl, Methoden der Organischen Chemie, 4 Aufl., Bd 12, Tl 2, Sttutg., 1964, S. 212-26; Emoto Т., "J. of Synthetic Organic Chemistry", 1970, v. 28, № 2, p. 143-76; "Angcwandte Chemie International Edition", 1981, Bd 20, S. 223. Г.И. Дрозд.




выберите первую букву в названии статьи: А Б В Г Д Е Ж З И К Л М Н О П Р С Т У Ф Х Ц Ч Ш Щ Э Ю Я


Все новости



Новости компаний

Все новости


© ChemPort.Ru, MMII-MMXXIV
Контактная информация