новости бизнеса
компании и предприятия
нефтехимические компании
продукция / логистика
торговый центр
ChemIndex
новости науки
работа для химиков
химические выставки
лабораторное оборудование
химические реактивы
расширенный поиск
каталог ресурсов
электронный справочник
авторефераты
форум химиков
подписка / опросы
проекты / о нас


контакты
поиск
   

главная > справочник > химическая энциклопедия:

ДИКАРБОНИЛЬНЫЕ СОЕДИНЕНИЯ


выберите первую букву в названии статьи: А Б В Г Д Е Ж З И К Л М Н О П Р С Т У Ф Х Ц Ч Ш Щ Э Ю Я

ДИКАРБОНИЛЬНЫЕ СОЕДИНЕНИЯ, орг. соед., содержащие в молекуле две карбонильные группы С=О. К ним относятся диальдегиды, дикетоны, кетоальдегиды, альдегидо- и кетокислоты (и их производные) и т. п. Помимо свойств, характерных для карбонильных соед., Д. с. проявляют специфич. свойства, зависящие от взаимного расположения групп СО.

a-Д. с. (1,2-Д. с.) RCOCOR'. Карбонильные группы обычно обнаруживают ярко выраженную электроф. реакц. способность. Для них характерна циклизация при действии бифункциональных нуклеофилов (напр., ур-ние 1) и соед. 3-валентного Р (2). Связь С—С между группами СО обычно сравнительно легко расщепляется, например, при фотолизе (3) или действии нуклеофилов (4). Для a-диальдегида (глиоксаля)и a-кетоальдегидов характерна внутримол. Канниццаро реакция, для ароматич. a-дикетонов (бензилов) - бензиловая перегруппировка.

Осн. способы получения a-Д. с. - окисление монокарбонильных соед. (5) или их a-замещенных производных, например ацилоинов (6), производных ендиолов (7), гликолей и др.; ароматич. a-дикетоны получают также из ароматич. соед. и оксалилхлорида по реакции Фриделя - Крафтса.

Некоторые a-Д. с., например, метилглиоксаль СН3СОСНО, пировиноградная кислота СН3СОСООН, участвуют в обмене веществ в живых организмах. Диацетил обусловливает запах сливочного масла; его производное - диметилглиоксим применяется как аналит. реагент. a-Д. с. используют в орг. синтезе для получения гетероциклич. соед.

b-Д.с. (1,3-Д.с.) RCOC(R:R':)COR'. Соед. с R: и(или) R': = Н - сравнительно сильные СН-кислоты. Для них характерна легкая енолизация с образованием цис-енолов (в хелатной форме с внутримол. водородной связью), реже -транс-енолов (см. Таутомерия):

Наличие электроноакцепторных заместителей, например, в случае полифтор-b-дикетонов, увеличивает кислотность кетоформы и способствует енолизации, а введение объемистых заместителей затрудняет ее. b-Д.с. легко образуют еноляты щелочных металлов, а с солями двух- и поливалентных металлов - прочные внутрикомплексные еноляты, содержащие хелатный цикл (см. b-Дикетонаты металлов), например:

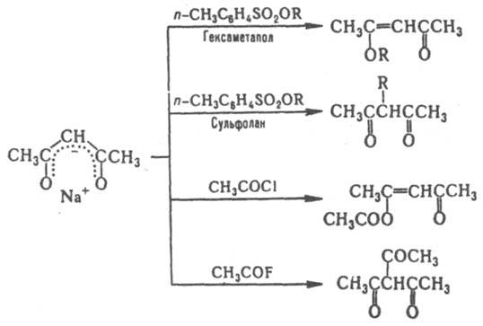
Благодаря образованию енолятов b-Д. с. в присутствии оснований вступают в конденсации типа альдольной, реакции Кнёвенагеля, Михаэля и т. п., легко алкилируются и ацилируются с образованием С- или О-производных (соотношение продуктов зависит от строения b-Д.с., природы основания и реагента, полярности растворителя), например:

При действии избытка сильного основания на 1,3-Д.с., у которых имеются a- и g-атомы Н, образуются соли, содержащие дианионы этих Д. с.; в этом случае атака электрофила направляется на g-атом С, например:

Под действием сильных оснований в жестких условиях расщепляется связь С—С ("кислотное расщепление" ацетоуксусного эфира). Взаимод. b-Д. с. с бифункциональными нуклеофилами получают пяти-, шести- или семичленные гетероциклы, например:

b-Д.с. получают главным образом Клайзена конденсацией, а также аналогичными реакциями из производных енолов, например:

b-Д.с. широко применяют в орг. синтезе (см., например, Ацетоуксусный эфир) для получения лек. ср-в, красителей и др. b-Дикетоны используют для разделения и анализа РЗЭ и актиноидов. См. также Ацетилацетон, Гексафторацетилацетон, Индандионы, Теноилтрифторацетон, Трифторацетилацетон.

g-Д.с. (1,4-Д. с.)

При дегидратации, действии H2S или NH3 образуют соотв. замещенные фураны, тиофены или пирролы:

(X = О, S, NH). Внутримол. реакция типа кротоновой конденсации приводит к замещенным циклопентенонам:

g-Д. с. получают окислит. димеризацией карбонильных соед. (напр., ур-ние 8) или соответствующих производных енолов (9), присоединением альдегидов к a, b-ненасыщенным карбонильным соед. (10), гидролизом замещенных фуранов (11).

Используют g-Д.с. в орг. синтезе, например, для получения жасмона, простагландинов, пиретроидов, гетероциклич. соединений.

d- и e-Д.с. (1,5- и 1,6-Д.с.)

(п = 3,4).

При значит. удалении одной карбонильной группы от другой их взаимное влияние уменьшается; по реакц. способности Д. с. с такими группами не отличаются от монокарбонильных соед., однако появляется возможность образования циклов, например:

Эти Д. с. образуются, например, при окислит. расщеплении ненасыщенных алициклич. соед. (ур-ние 12). d-Д. с. получают также по реакции Михаэля (13), а e-Д. с. - гидродимеризацией a,b-ненасыщенных карбонильных соед. (14):

Используют d- и e-Д. с. в орг. синтезе. Лит.. Строение и таутомерные превращения b-дикарбонильных соединений, Рига, 1977; Общая органическая химия, пер. с англ., т. 2, М., 1982, с. 558-62, 624-37, 642-43, 756, 815-18; там же, т. 4, М., 1983, с. 195-232; Пешкова В. М., Мельгамова Н. В., b-Дикетоны, М., 1986; Rio G., Lecas-Nawrocka A., "Bull. Soc. chim. France", 1976, № 1/2 pt. 2, p. 317-26; Cooper A. J. L., Ginos J.Z., Meister A., "Chem. Rev.", 1983, v. 83, № 3, p. 321-58. E. М. Рохлин.

Лит.: нет данных


выберите первую букву в названии статьи: А Б В Г Д Е Ж З И К Л М Н О П Р С Т У Ф Х Ц Ч Ш Щ Э Ю Я


Все новости



Новости компаний

Все новости


© ChemPort.Ru, MMII-MMXXIV
Контактная информация