новости бизнеса
компании и предприятия
нефтехимические компании
продукция / логистика
торговый центр
ChemIndex
новости науки
работа для химиков
химические выставки
лабораторное оборудование
химические реактивы
расширенный поиск
каталог ресурсов
электронный справочник
авторефераты
форум химиков
подписка / опросы
проекты / о нас


контакты
поиск
   

главная > справочник > химическая энциклопедия:

β-ЛАКТАМНЫЕ АНТИБИОТИКИ


выберите первую букву в названии статьи: А Б В Г Д Е Ж З И К Л М Н О П Р С Т У Ф Х Ц Ч Ш Щ Э Ю Я

β-ЛАКТАМНЫЕ АНТИБИОТИКИ (Л. а.), содержат в молекуле β-лактамный цикл. Практически все природные Л. а. экстрагируют из культуральных жидкостей продуцентов. Механизм антибактериального действия заключается в блокировании конечной стадии синтеза стенки бактерий, в результате чего происходит лизис клетки. Различают бициклические и моноциклические Л. а. К первым относятся соед., в которых 4-члeнный лактамный цикл сконденсирован по атому N и соседнему с ним атому С с 5-членным гетероциклом - тиазолидиновым (пенамы), пирролиновым (карбапенамы) и оксазолидиновым (оксапенамы) - или с 6-членным дигидротиазиновым циклом (цефалоспорины и цефамицины). Пенамы включают пенициллины - первые Л.а., широко внедренные в мед. практику. Они продуцируются главным образом плесневыми грибами рода Penicillium. Пенициллины сравнительно легко претерпевают хим. деструкцию, обычно сопровождающуюся размыканием β-лактамного кольца. наиб. изучены бензилпенициллин, или пенициллин G (ф-ла I), и феноксиметилпенициллин, или пенициллин V (II). Бензилпенициллин почти утратил свое значение как лек. ср-во из-за широкого распространения резистентных микробов - возбудителей инфекции. Подавляющая часть выпускаемого промышленностью бензилпенициллина используется для получения 6-аминопенициллановой кислоты (6-АПК; ф-ла III) ферментативным гидролизом в присутствии пенициллин-ацилазы, продуцируемой Escherichia coli.

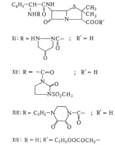
Прир. пенициллины подавляют главным образом грамположит. бактерии. Эти вещества чувствительны к инактивирующему действию β-лактамаз (пенициллиназ) и др. ферментов бактериального происхождения, при действии которых размыкается β-лактамный цикл. Ацилированием 6-АПК, ее солей или эфиров хлорангидридами или ангидридами кислот получают разнообразные полусинтетич. пенициллины. Синтезировано св. 20 тыс. производных, из которых мед. применение нашли только неск. десятков. Биол. свойства полусинтетич. пенициллинов зависят главным образом от характера заместителя в положении 6. Так, устойчивость к р-лактамазам обеспечивают объемные заместители, создающие стерич. препятствия разрыву р-лак-тамного цикла. Пенициллины с NH2- или СООН - группой в боковой цепи обладают, как правило, широким спектром действия. наиб. широко применяют метициллин (IV), оксациллин (V), диклоксациллин (VI), ампициллин (VII), амоксициллин (VIII), карбенициллин (IX) и тикарциллин (X). Большую группу полусинтетич. пенициллинов составляют производные соед. VII - азлоциллин (XI), мезлоциллин (XII) и пиперациллин (XIII), относящиеся к группе уреидопенициллинов, а также бакампициллин (XIV), гетациллин (XV) и др. Эти вещества отличаются повыш. хим. стабильностью; кроме того, уреидопенициллины обладают более широким спектром действия, чем ампициллин. Производные IX с этерифицированной a-СООН - группой ацильного заместителя обладают тем же спектром антибактериального действия, что и исходное соед., но более устойчивы к β-лактамазам. Резко повышает устойчивость введение метоксильной группы в положение 6, как, например, в темоциллине, или 6a-метокситикарциллине (XVI). При окислении атома S тиазолидинового цикла до сульфона образуются соед., способные подавлять β-лактамазы.

К пенамам относятся также амидинопенициллины, например мециллинам (XVII), который отличается от пенициллинов более сложным механизмом гидролитич. расщепления. Соед. XVI и XVII подавляют преим. грамотрицат. бактерии.

Карбапенамы - соед. обшей ф-лы XVIII. Продуцируются разл. микроорганизмами рода Streptomyces. Включают ок. 20 представителей. Характеризуются широким спектром антимикробного действия и способностью ингибировать b - лактамазы. Большинство карбапенамов-производные гипотетич. оливановой кислоты [в ф-лe XVIII R=β-СН3СН(ОН), R' =HOCH2CH2, n=0]. наиб. активностью обладают тиенамицин [R=a-CH3CH(OH), R'=NH2CH2CH2, n=0], карпетимицин A[R=β-(CH3)2C(OH), R'=CH2=CHNHCOCH2, n=1], соединение PS-5 [R=a-CH3CH(OH), R'=CH3QO)CH2CH2, n=0]. Из оксапенамов наиб. изучены клавулановая кислота (XIX), продуцируемая Streptomyces clavuligerus. Она обладает слабой антимикробной активностью, способна подавлять многие β-лактамазы. Применяется в сочетании с VIII (лек. препарат аугментин). Моноциклич. Л. а. включают прир. нокардицины и моно-бактамы, а также синтетич. азетидиноны, в первую очередь моносульфактамы. Хим. стабильностью и антимикробной

активностью характеризуются 2-азетидиноны с объемными электронодонорными заместителями при атоме N в β-лактамном цикле. Спектр антимикробного действия зависит главным образом от заместителя в положении 3. Нокардицины (общая ф-ла XX) продуцируются No-cardia uniformis subsp. tsuyamanensis. Подавляют грамотрицат. бактерии. Включают 6 представителей, наиб. активный из которых нокардицин А [в ф-ле XX R=(Z)-NOH, R'=D-HOOCCH(NH2)CH2CH2]. Монобактамы (общая ф-ла XXI; R'=Н или ОСН3) продуцируются бактериями родов Acetobacterium, Gluconobacterium, Chromobacterium, отдельными видами Pseudomonas. Эти антибиотики обладают сравнительно низкой активностью против грамотрицат. бактерий, стабильны к β-лактамазам. Из синтетич. монобактамов наиб. интерес представляет получаемый из L-треонина азтреонам (XXII), который отличается от природных высокой антибактериальной активностью. Моносульфактамы - синтетич. 2-азетидиноны (общая ф-ла XXIII; R=Н или СН3). Их получают взаимод. производных L-серина или L-треонина с аминогидрокси-D-аланином и послед. циклизацией, О-сульфированием и N-ацилированием. наиб. широким антибактериальным спектром характеризуется моносульфактам (XXIV). Лит.: Итоги науки и техники, сер. Биологическая химия, т. 19, под ред. С. М. Навашина, М., 1983; Розенфельд Г. С., "Антибиотики и медицинская биотехнология", 1986, т. 31, №4, с. 302; Chemistry and biology of β-lactam antibiotics, ed. by R. B. Morin, M. German, v. 1-2, N.Y., 1982; Cimarusti C.M., Sykes R. В., "Med. Res. Rev.", 1984, v. 4, p. 1-24. Г.С. Розенфельд.

Лит.: нет данных


выберите первую букву в названии статьи: А Б В Г Д Е Ж З И К Л М Н О П Р С Т У Ф Х Ц Ч Ш Щ Э Ю Я


Все новости



Новости компаний

Все новости


© ChemPort.Ru, MMII-MMXXIV
Контактная информация