новости бизнеса
компании и предприятия
нефтехимические компании
продукция / логистика
торговый центр
ChemIndex
новости науки
работа для химиков
химические выставки
лабораторное оборудование
химические реактивы
расширенный поиск
каталог ресурсов
электронный справочник
авторефераты
форум химиков
подписка / опросы
проекты / о нас


контакты
поиск
   

главная > справочник > химическая энциклопедия:

МУТАГEНЫ


выберите первую букву в названии статьи: А Б В Г Д Е Ж З И К Л М Н О П Р С Т У Ф Х Ц Ч Ш Щ Э Ю Я

МУТАГEНЫ (от мутации и греч. -genes-рождающий, рожденный), хим. и физ. факторы, вызывающие наследств. изменения - мутации. Впервые искусств. мутации получены в 1925 Г. А. Надсе-ном и Г. С. Филипповым у дрожжей действием радиоактивного излучения радия; в 1927 Г. Мёллер получил мутации у дрозофилы действием рентгеновских лучей. Способность хим. веществ вызывать мутации (действием иода на дрозофилы) открыта в 1932 В. В. Сахаровым.

М. химические. Различают М. прямого действия -соед., реакц. способность которых достаточна для хим. модификации ДНК, РНК и некоторых белков, и промутагены - вещества, которые сами по себе инертны, но превращ. в организме в М. (в осн. в результате ферментативного окисления системой микро-сомных многоцелевых оксидаз). Последние часто называют "конечными" М. Так, немутагeнный 1,2-бензопкрен (бен-зо[а]пирен) в организме окисляется до 7,8-дигидрокси-9,10-эпокси-7,8,9,10-тетрагидро-1,2-бензопирена, один из стерео-изомеров которого обладает мутагенной, а также канцерогенной активностью:


Др. пример - немутагенный N-нитрозодиметиламин, который в печени подвергается ферментативному окислит. деметили-рованию и превращ. в высокомутагенный и канцерогенный метилдиазогидроксид (см. Канцерогенные вещества).

Мишенью действия М. в клетке являются главным образом ДНК и, возможно, некоторые белки. К последним относят в осн. белки, играющие структурную роль в организации генома или принимающие участие в репликации (самовоспроизведении молекулы нуклеиновых кислот), рекомбинации (перераспределении генетич. материала родителей в потомстве) или репарации (восстановлении поврежденной структуры ДНК).

Среди М. наиб. обширен класс электроф. алкилирующих М., к которым относят не только типичные алкилирующие агенты (диазоалканы, эфиры серной кислоты и алкансульфо-кислот), но и эфиры фосфорной и азотной кислот, аминоэтили-рующие реагенты (2-хлорэтиламин, этиленимин и их производные), оксиэтилирующие агенты (этиленоксид и его производные) и альдегиды. К этому же классу М. относят N-нитрозо-N-алкиламиды карбоновых кислот, N-нитрозо-N-алкилуретаны, N-нитрозо-N-алкилмочевины, N-алкил-N-нитрозо-N'-нитрогуанидины, являющиеся, по-видимому, наиб. активными из известных М. Эти соед. сами по себе лишены алкилирующих свойств, но при их гидролитич. распаде образуются активные алкилдиазогидрохсиды (иногда считают, что образуются своб. алкилкарбкатионы, что менее вероятно).

Электроф. реагентами являются также подавляющее большинство конечных М., образующихся из синтетич. и прир. веществ. Пример последних - глюкозид циказин (b-D-глю-козид метилазоксиметанола), который под действием ферментов трансформируется в метилдиазогидроксид.

Механизм мутагенного действия простейших алкилирующих агентов довольно хорошо изучен. Характер повреждений ДНК при воздействии этих агентов м.б. предсказан с помощью ф-лы Свена-Скотта:


где k- константа скорости бимолекулярной реакции алкили-рующего агента с нуклеофилом; k0 - константа скорости бимолекулярной реакции алкилирующего агента с водой, выбранной в качестве стандарта; n-константа, характеризующая нуклеофильность субстрата; .s-мера чувствительности скорости реакции к изменению п.

Из ф-лы следует, что при алкилировании биополимеров, имеющих неск. нуклеоф. центров, доля продуктов алкили-рования центра с низкой нуклеофильностью должна быть выше при действии агента с низкой константой s.

Наибю нуклеоф. центр в молекуле ДНК-положение 7 в гуанине. Поэтому диметилсульфат и метилметансульфоиат (s соотв. 0,9 и 0,86) алкилируют ДНК в осн. по этому положению (см. ф-лу I; везде R-цепь ДНК), а выход продуктов алкилирования центров с меньшей нуклеофильностыо мал. При действии на ДНК этилметансульфоната и N-нитрозо-N-метилмочевины (s соотв. 0,67 и 0,42) доля 7-алкилгуанина в общем выходе продуктов алкилирования снижается и возрастает вклад продуктов алкилирования центров с низкой нуклеофильностью - межнуклеотидных фосфатных групп и атомов кислорода в основаниях. При алкилировании ДНК N-нитрозо-N-этилмочевиной (s ок. 0,26) осн. продукт реакции -алкилир. остатки фосфорной кислоты и О-алкилир. основания: О6-этилгуанин (II), О2-этилцитозин (III), О2- и О4-этилтимины (соотв. IV и V).


Синтез новой нити ДНК на ДНК-матрице, содержащей 7-алкилгуаниновые звенья, проходит без ошибок и мутаций не возникает. Напротив, полинуклеотид, синтезированный на матрице, содержащей О-алкилир. звенья, содержит ошибочно включенные пуриновые и пиримидиновые основания. С возрастанием способности к О-алкилированию у простейших алкилирующих агентов возрастает канцерогенная активность.

Мутации, возникающие при действии метилметансульфо-ната, не алкилирующего основания ДНК по атому О, являются следствием ошибок работы ферментов клетки, восстанавливающих исходное (неизмененное) состояние ДНК.

Спектр повреждений ДНК при действии нуклеоф. мутаге-нов (гидроксиламин, О-метилгидроксиламин, гидразины, бисульфит Na) значительно уже. В осн. это модификация цитозина, направление и механизм которой иллюстрирует след. схема:


Др. нуклеоф. агенты реагируют аналогично, но константы скорости отдельных стадий могут существенно меняться. Особенность действия бисульфита на ДНК-замена цитози-новых звеньев на урацилъные в результате дезаиминирова-ния цитозина по схеме:


Ряд М. вызывают мутации, не связываясь ковалентно с ДНК. Так, некоторые гетероциклич. соед. (напр., акридин и его производные), обладающие жесткой плоской структурой молекулы, встраиваются (интеркалируют) между смежными, расположенными стопкой, парами оснований двойной спирали ДНК. В этом случае матричный синтез на ДНК протекает с ошибками. В синтезируемой нити ДНК оказывается на один нуклеотид больше или меньше обычного и возникают мутации.

Особый класс М. составляют соед., представляющие со-бой аналоги оснований ДНК-5-галогенурацилы, 2-амино-и 6-метиламинопурины и др. Галогенурацилы включаются в ДНК при матричном синтезе вместо тимина, 2-амино-пурин-вместо аденина. Вследствие различий в положении кетоенольного равновесия у тимина и галогенурацилов (при включении последних в ДНК) увеличивается частота ошибочных спариваний оснований и возникают ошибки при репликации.

Существуют также М., ингибирующие синтез предшественников ДНК. Мишень таких М.-ферменты, синтезирующие компоненты ДНК. Считается, что в результате подавления синтеза предшественников происходит замедление или даже остановка синтеза ДНК. В этих условиях повышается вероятность того, что решшкац. система клетки может пропустить отсутствующий нуклеотид, либо включить вместо отсутствующего нуклеотида другой, ошибочный; следствие обоих событий-мутация.

Мутагенные и канцерогенные свойства хим. веществ тесно связаны между собой. Поэтому выявление возможных М. в окружающей среде, испытание на мутагенность продуктов пром. синтеза (красители, лек. ср-ва, пестициды и др.)-важная задача совр. генетики. Разработаны тест-системы для экспресс-обнаружения М. Наиб. часто используют тест Б. Эймса и его модификации. Для их осуществления используют специально полученные штаммы бактерий Salmonella typhimurium, которые не способны синтезировать гистидин из-за генетич. нарушений. Этот штамм поэтому не может расти в среде, в которой отсутствует эта аминокислота. Др. его особенность-способность в результате обратной мутации приобретать исходную способность синтезировать гистидин из обычных предшественников (NH3 и др.). Частота обратных мутаций заметно увеличивается под действием М. и может служить критерием их активности. В тестах используют лишенную гистидина питат. среду, в которую добавляют экстракт из печени крыс, содержащий ферменты эндоплаз-матич. ретикулума, способные превращать вещество в мутаген-ную (канцерогенную) форму. В случаях, когда вещество обладает мутагенной активностью, наблюдается активный рост колоний бактерий. Время тестирования-ок. 24 ч (на тестирование с использованием эксперим. животных затрачивается 2-3 года).

М. физические. Мутации при действии физических М. возникают так же, как и при действии М. химических. Вначале возникает первичное повреждение ДНК. Если оно не будет полностью исправлено в результате репарации, то при послед. репликативном синтезе ДНК будут возникать мутации. Специфика мутагенеза (процесса возникновения мутаций) при действии физ. факторов связана с характером первичных повреждений генома, вызываемых ими.

Подробно изучены повреждения ДНК, возникающие в результате действия электромагн. излучения разной длины волны. Электромагн. излучение с длиной волны больше 300 нм не поглощается ДНК, однако в некоторых случаях может оказывать мутагенное действие, механизм которого заключается в поглощении кванта света молекулой сенсибилизатора и передачей энергии возбуждения на ДНК. При действии света с длиной волны 200-300 нм (lмакс поглощения ДНК 260 нм) происходит поглощение квантов света хромофорными группами ДНК (пуриновые и пиримидиновые основания) и переход последних в возбужденное состояние. В обоих случаях б.ч. поглощенной энергии рассеивается и основания ДНК возвращаются в исходное, невозбужденное, состояние, но часть возбужденных оснований подвергается фотохим. трансформации.

В наиб. степени это относится к тимину, остальные основания более устойчивы. Энергия излучения, поглощенная тимином, локализуется в осн. на двойной связи цикла; следствием этого является образование в составе ДНК димеров:


Возбужденная двойная связь способна также присоединять нуклеофилы с образованием, например, нестойкого гидрата тимина:


При облучении ДНК дальним УФ светом (185 нм) возможно и фотоокисление тимина с образованием его гидроперок-сида (ф-ла VI).

Предполагают, что осн. предмутац. повреждение ДНК, возникающее при действии УФ света, связано с образованием димеров тимина.

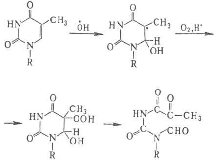
Электромагн. излучения еще более высокой энергии (рентгеновское и у-излучение) способны ионизовать вещество. Ионизация происходит случайным образом, поэтому молекулы, являющиеся наиб. распространенными в объекте, больше других под вергаются ионизации. При облучении живой материи, на 70-90% состоящей из воды, б. ч. энергии будет поглощена молекулами воды и поэтому мутагенный эффект при действии этих агентов возникает главным образом вследствие модификации ДНК продуктами радиолиза воды. Наиб. вклад в развитие радиац. поражения ДНК вносит радикал ОН.. При взаимод. с ДНК 80% всех радикалов ОН. атакуют основания ДНК, остальные-дезоксирибозную часть молекулы. Возникающие первичные продукты затем вступают в разнообразные вторичные реакции как с теми же продуктами радиолиза воды, так и с кислородом, белками, низкомол. компонентами клетки, а также подвергаются диспропорционированию, изомеризации, гидролизу. Возникает широкий спектр разнообразных изменении первичной и вторичной структуры ДНК: измененные основания, апури-новые и апиримидиновые сайты (участки с удаленными основаниями), разрывы связей в дезоксирибозе, одно- и двунитевые разрывы цепей ДНК. Точная роль каждого из возникающих повреждений структуры ДНК в формировании мутагенного эффекта все еще остается невыясненной. Предполагают, что ключевую роль в этом процессе играют продукты радиолиза тимина.

В тимине первичной атаке радикалом ОН. подвергается двойная связь цикла с образованием двух радикалов с радикальными центрами в положениях 5 и 6, с преобладанием первого. В присут. кислорода из радикала образуется гидро-пероксид, который уже при комнатной температуре разлагается с раскрытием цикла:


Радиационно-хим. изменения цитозина также протекают через стадию образования аналогичного, но еще более нестабильного гидропероксида. В случае цитозина и аденина возможно также дезаминирование оснований. Пуриновые основания (аденин, гуанин) реагируют с радикалом ОН. с меньшей скоростью. Идентифицированы, например, продукт гидроксилирования аденина (8-гидроксиаденин), а также продукты раскрытия имидазольного кольца этих оснований.

В дезоксирибозном остатке молекулы ДНК радикал ОН. способен атаковать и отрывать атом Н из любого положения цикла. Конечный результат радиационно-хим. модификации этой части молекулы ДНК - образование малонового диальдегида, сопровождающееся разрывом N-гликозидной связи с отщеплением неизмененного основания, и, в итоге, однонитевых разрывов ДНК. Затем уже возникают и двунитевые разрывы ДНК в результате статистич. накопления однонитевых разрывов в противоположных участках двух цепей ДНК.

Известно прямое действие радиации на молекулы-мишени, в результате которого макромолекулы превращ. в своб. радикалы по схеме:


Судьба образовавшихся радикалов R., вероятно, схожа с судьбой радикалов, возникающих при непрямом действии радиации.

Механизм действия др. видов ионизирующего излучения (a-частицы, протоны, нейтроны, электроны, ускоренные ядра более тяжелых элементов) близок к механизму действия ионизирующего электромагн. излучения. Отличия обусловлены главным образом разницей в массе, заряде, энергии и глубине проникновения излучения в объект, способом ионизации макромолекул и др. Имеются сведения, что воздействие некоторых др. физ. факторов, например звуковых колебаний, вибрации, могут также привести к мутации.

М. применяют для получения штаммов микроорганизмов, продуцирующих в больших кол-вах антибиотики, аминокислоты, витамины и др. вещества, чем прир. штаммы (такие штаммы используют в промышленности), а также для выведения новых сортов растений.

Лит.: Первичные радиобиологические процессы, под ред. Н. В. Тимофеева-Ресовского, 2 изд., М., 1973; Рябченко Н.И., Радиация и ДНК, М., 1979; КогглД., Биологические эффекты радиации, пер. с англ., М., 1986; Рубин А.Б., ФрайкинГ.Я., "Успехи совр. биологии", 1987, т. 103, в. 3, с. 323-39; Chemical mutagens. Principles and methods for their detection, ed. by A. Hollander, v. 1-10, N.Y., 1971-86. A.M. Серебряный.




выберите первую букву в названии статьи: А Б В Г Д Е Ж З И К Л М Н О П Р С Т У Ф Х Ц Ч Ш Щ Э Ю Я


Все новости



Новости компаний

Все новости


© ChemPort.Ru, MMII-MMXXIV
Контактная информация