новости бизнеса
компании и предприятия
нефтехимические компании
продукция / логистика
торговый центр
ChemIndex
новости науки
работа для химиков
химические выставки
лабораторное оборудование
химические реактивы
расширенный поиск
каталог ресурсов
электронный справочник
авторефераты
форум химиков
подписка / опросы
проекты / о нас


контакты
поиск
   

главная > справочник > химическая энциклопедия:

(+)-ТУБОКУРАРИН


выберите первую букву в названии статьи: А Б В Г Д Е Ж З И К Л М Н О П Р С Т У Ф Х Ц Ч Ш Щ Э Ю Я

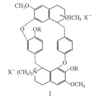
(+)-ТУБОКУРАРИН (ф-ла I; R = H, X - анион), изохиноли-новый алкалоид, содержащийся в хондодендроне войлочном (Chondodendron tomentosum) семейства мениспермовых (Menispermaceae). Впервые выделен в 1897 как действующее начало яда кураре. (+)-Тубокураринхлорид (в ф-ле IX = Cl), мол. м. 645,19, бесцв. кристаллы, т.пл. 274-275 0C (с разл.), 265° (в воде); хорошо раств. в воде. Получен иодид диме-тилтубокурарина (R= CH3, X = I), т. пл. 267 0C (с разл.).

(+)-Тубокураринхлорид блокирует преим. холинореактив-ные системы скелетной мускулатуры. Малые дозы вызывают временное расслабление (релаксацию) скелетной мускулатуры.

При потреблении больших доз происходит остановка дыхания. (+)-Т. применяют в анестезиологии в качестве миорелаксанта, вызывающего расслабление мускулатуры во время операции. Иодид диметилтубокурарина используют так же, однако он обладает более длит. действием. (+)-Т. имеет разл. товарные назв.: амелизол, курадетенсин, курарин, дела-курарин и др.


Разработаны методы определения (+)-Т. в сырье и биол. объектах с помощью тонкослойной и высокоэффективной жидкостной хроматографии, спектрофотометрии, люминес-центного анализа.

Лит.: Машковский М.Д., Лекарственные средства, ч. 1, M., 1993, с. 287; Shamma M., The isoquinoline alkaloids, N. Y.- L., 1972, p. 122-23.

M. В. Тележене икая.



выберите первую букву в названии статьи: А Б В Г Д Е Ж З И К Л М Н О П Р С Т У Ф Х Ц Ч Ш Щ Э Ю Я


Все новости



Новости компаний

Все новости


© ChemPort.Ru, MMII-MMXXIV
Контактная информация