новости бизнеса
компании и предприятия
нефтехимические компании
продукция / логистика
торговый центр
ChemIndex
новости науки
работа для химиков
химические выставки
лабораторное оборудование
химические реактивы
расширенный поиск
каталог ресурсов
электронный справочник
авторефераты
форум химиков
подписка / опросы
проекты / о нас


контакты
поиск
   

главная > справочник > химическая энциклопедия:

ФЕНОТИАЗИН


выберите первую букву в названии статьи: А Б В Г Д Е Ж З И К Л М Н О П Р С Т У Ф Х Ц Ч Ш Щ Э Ю Я

ФЕНОТИАЗИН (дибензо-1,4-тиазин), мол.м. 199,3; желтые кристаллы; т.пл. 185,5-189 0C, т. кип. 371 0C (с разл.), 290 °С/40 мм рт. ст.; возгоняется, летуч с водяным паром. Хорошо раств. при натр, в этаноле, уксусной кислоте, плохо - в диэтиловом эфире и бензоле. В холодной H2SO4 раств. с выделением SO2; при натр, с металлич. Cu отщепляет серу, образуя карбазол .

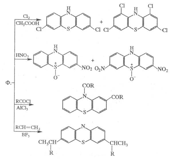
Ф. обладает свойствами ароматических соединений. Является хорошим донором электронов и с разл. акцепторами образует комплексы с переносом заряда. Легко вступает в электроф. замещение, которое направляется в первую очередь в положения 3 и 7 и часто сопровождается окислением; ацилирование направляется в положения 2 и 10, например:


Бромирование Ф. в нитробензоле протекает с образованием 1,2,3,7,8,9-гексабромпроизводного, аналогичное хлорирование - с образованием продукта глубокого (до 11 атомов Cl) хлорирования и потерей ароматичности одного из колец.

Окисление Ф. действием H2O2 или KMnO4 приводит к фенотиазин-5-оксиду или фенотиазин-5,5-диоксиду. Р-ции протекают в виде последоват. стадий с промежут. образованием катиона, в котором положение 3 чувствительно к атаке нуклеоф. реагентов, например:


Окисление Ф. FeCl3 в присутствии NaNO2 приводит к 3-нитро-фенотиазину. Ф. обнаруживают с помощью цветных реакций с окислителями - он дает зеленую окраску с FeCl3 и красную - с H2O2 в кислой среде.

Ф. получают нагреванием дифениламина с S при 180-250 0C в высококипящих растворителях в присутствии I2 или AlCl3. Общий метод получения Ф. и его производных -циклизация 2'-замещенных производных 2-аминодифенил-сульфида в присутствии сильных оснований:


Ф. используется в качестве инсектицида, антигельминта, антиоксиданта смазочных масел; производные Ф.- красители (см. Азиновые красители, Метиленовый голубой), лек. ср-ва (аминазин, диэтазин, прометазин, этопропазин и др.), ингибиторы полимеризации.

Лит.: Гетероциклические соединения, под ред. P. Эльдерфидда, пер. с англ., т. 6, M., 1960, с. 568-91; Общая органическая химия, пер. с англ., т. 9, M., 1985, с. 627-35. Г. А. Швехгеймер, В. И. Келарев.



выберите первую букву в названии статьи: А Б В Г Д Е Ж З И К Л М Н О П Р С Т У Ф Х Ц Ч Ш Щ Э Ю Я


Все новости



Новости компаний

Все новости


© ChemPort.Ru, MMII-MMXXIV
Контактная информация