новости бизнеса
компании и предприятия
нефтехимические компании
продукция / логистика
торговый центр
ChemIndex
новости науки
работа для химиков
химические выставки
лабораторное оборудование
химические реактивы
расширенный поиск
каталог ресурсов
электронный справочник
авторефераты
форум химиков
подписка / опросы
проекты / о нас


контакты
поиск
   

главная > справочник > химическая энциклопедия:

ХИНОНИМИНЫ


выберите первую букву в названии статьи: А Б В Г Д Е Ж З И К Л М Н О П Р С Т У Ф Х Ц Ч Ш Щ Э Ю Я

ХИНОНИМИНЫ. Различают п- и о-хинонимины (ф-лы Ia и I6)и n- и о-хинондиимины (IIa и II6). Наиб. практич. значение имеют пaра-изомеры. Незамещенные X.- бесцв. кристаллы, неустойчивы, разлагаются на свету и в присут. растворителей. Замещение атомов Н при атоме азота на алкил или фенил стабилизирует молекулу X., что выражается также в углублении цвета производного; так, N-метил-n-хино-нимин - светло-желтые, N-фе-нил-n-хинонимин (т. пл. 97 °С) -красные, N, N'-дифенил-n-хинондиимин (т. пл. 180 °С) - темно-красные кристаллы.

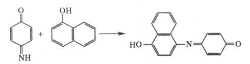
Характерное свойство X.- способность к легкому гидролизу разбавленными кислотами с образованием соответствующего хинона и NH3. Взаимод. X. с разл. восстановителями приводит к аминофенолам или диаминам. С фенолами хинонимины образуют индофенольные красители, например красный краситель в случае нафтола:

N-Алкилзамещенные хинондиимины в щелочной среде превращаются в хинонимин, с сульфитами щелочных металлов образуют сульфонаты:

Незамещенные X. и их N-алкильные производные вступают в диеновый синтез с циклопентадиеном.

Незамещенные X. получают осторожным окислением эфирным раствором Ag2O n-аминофенола (в случае n-хинонимина) и n-фенилендиамина (в случае n-хинондиимина). N-Фенилхинонимин синтезируют в аналогичных условиях из n-аминофенола, N, N'-дифенилхинондиимин - из N, N'-дифенил-n-фенилендиамина.

X.- основа хинониминовых красителей.

Г. И. Пуца.




выберите первую букву в названии статьи: А Б В Г Д Е Ж З И К Л М Н О П Р С Т У Ф Х Ц Ч Ш Щ Э Ю Я


Все новости



Новости компаний

Все новости


© ChemPort.Ru, MMII-MMXXIV
Контактная информация