новости бизнеса
компании и предприятия
нефтехимические компании
продукция / логистика
торговый центр
ChemIndex
новости науки
работа для химиков
химические выставки
лабораторное оборудование
химические реактивы
расширенный поиск
каталог ресурсов
электронный справочник
авторефераты
форум химиков
подписка / опросы
проекты / о нас


контакты
поиск
   

главная > справочник > химическая энциклопедия:

ГЕПАРИН


выберите первую букву в названии статьи: А Б В Г Д Е Ж З И К Л М Н О П Р С Т У Ф Х Ц Ч Ш Щ Э Ю Я

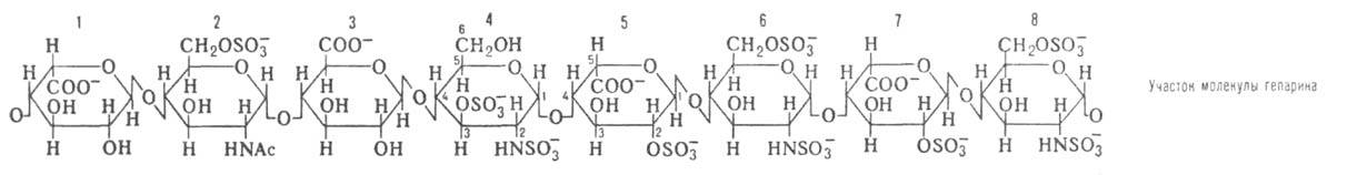
ГЕПАРИН (от греч. hepar- печень), протеогликан соединительной ткани, обладающий антикоагулянтным и гиполипидемич. действием. В молекуле нативного гепарин протяженные полисахаридные цепи присоединены к белковой цепи, структура которой полностью не выяснена. В узле углевод-белковой связи содержится фрагмент галактоза - галактоза-ксилоза, в котором ксилоза присоединена О-гликозидной связью к группе ОН остатка L-серина или L-треонина. Полисахаридные цепи молекулы гепарин (см. ф-лу) построены из чередующихся остатков D-глюкозамина и уроновой кислоты с 1 -> 4-связями между ними. Большинство остатков глюкозамина сульфатировано по аминогруппе и группе ОН в положении 6; небольшая часть аминогрупп м. б. ацетилирована, а О-сульфатные группы могут отсутствовать или занимать положение 3. Звенья уроновой кислоты представляют собой остатки L-идуроновой к-ты (гл. обр. в виде 2-сульфата) или эпимерные по С5 остатки -D-глюкуроновой к-ты.

Биол. активность гепарин обусловлена его углеводными цепями; при получении мед. препарата гепарин осуществляется их отщепление от белковой части молекулы. Выделенный поли-сахарид довольно устойчив к кислотному гидролизу. однако в кислой среде легко десульфатируется (в первую очередь у атомов N) и теряет антикоагулянтные свойства.

Механизм действия гепарин обусловлен его способностью специфически связываться с антитромбином III, что резко повышает ингибирующее действие последнего по отношению к тромбину и др. протеазам, участвующим в свертывании крови. Для такого связывания необходима вполне определенная комбинация моносахаридных звеньев на достаточно протяженных участках полисахарида. Активному антикоагулянтному центру соответствует последовательность остатков 2-6, среди которых остатки 2, 3 и 4-минорные компоненты молекулы.

гепарин вырабатывается в тканях специализированными (т. наз. тучными) клетками. Препарат гепарин получают из легких и печени рогатого скота в виде Na-соли (мол. м. 17-20 тыс.)-аморфного продукта, легко растворимого в воде. Количеств. определение гепарин основано на измерении биол. активности препарата или смещения р-ров некоторых красителей (напр., азура А) в присутствии гепарин

Препараты гепарин применяют в хирургии для предотвращения свертывания крови при длительных операциях с искусств. кровообращением, для предупреждения послеоперационных тромбозов, лечения инфарктов миокарда и атеросклероза и др.

Лит.: Джинлоз Р. В., Гепарин, в кн.: Методы химии углеводов, пер. с англ., М., 1967, с. 364-37; Heparin. New biochemical and medical aspects, ed. by I. Witt, B.-N. Y., 1983. А. И. Усов.




выберите первую букву в названии статьи: А Б В Г Д Е Ж З И К Л М Н О П Р С Т У Ф Х Ц Ч Ш Щ Э Ю Я


Все новости



Новости компаний

Все новости


© ChemPort.Ru, MMII-MMXXIV
Контактная информация