новости бизнеса
компании и предприятия
нефтехимические компании
продукция / логистика
торговый центр
ChemIndex
новости науки
работа для химиков
химические выставки
лабораторное оборудование
химические реактивы
расширенный поиск
каталог ресурсов
электронный справочник
авторефераты
форум химиков
подписка / опросы
проекты / о нас


контакты
поиск
   

главная > справочник > химическая энциклопедия:

ГИДАНТОИН


выберите первую букву в названии статьи: А Б В Г Д Е Ж З И К Л М Н О П Р С Т У Ф Х Ц Ч Ш Щ Э Ю Я

ГИДАНТОИН (2,4-имидазолидиндион, гликолилмочевинаХ мол. м. 100,08; бесцв. кристаллы. т. пл. 220°С; раств. в этаноле. уксусной кислоте, растворах щелочей, плохо-в эфире, воде (рКа 9,12).

Под действием Ва(ОН)2 гидролизуется до гидантоиновой кислоты H2NC(O)NHCH2COOH. С NaOH или КОН образует глицин. Электроф. замещение идет в положение 1. При реакции с NaCIO образует 1-хлор- или 1,3-дихлор-замещенные, с С12, Вr2 - 5-галогензамещенные. Атом галогена в производных активен и легко замещается на гидроокси- и аминогруппы. С карбонильными соед. образует 5-алкилиденовые производные, с формальдегидом - 5-гидрооксиметильные.

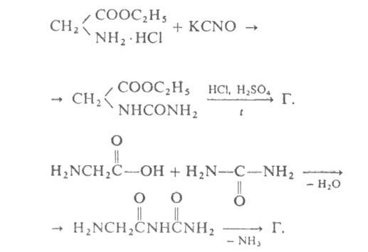
гидантоин получают из глицин. или его эфиров по реакциям:

Общий способ получения гидантоин и его 5-замещенных из карбонильных соед., HCN и (1ЧН4)2СО3-одна из Бухерера реакций. гидантоин-антисептик, инсектицид. стабилизатор поливинилхлорида. загуститель для пластичных смазок. антивуалирующее вещество в фотографии.

Важнейшее прир. производное гидантоин- 5-уреидогидантоин (аллантоин). Содержится в зародышах и листьях растений, в эмбрионах и моче большинства животных. Получают его окислением мочевой кислоты. Аллантоин заживляет раны. Др. производные гидантоин-лек. ср-ва, например фурадонин, дифенин (см. Противосудорожные средства).

Лит.: Гетероциклические соединения, под ред. Р. Элъдерфилда, пер. с англ., т. 5, М„ 1961, с. 203-11; Баранов С. Н., "Ж. оргидантоин химии", 1962, т. 32, в. 4, с. 1230-35; Chemistry of carbon compounds, v. 4, PiA, L.- N. Y.- [a. o.], 1957, p. 314-16. B.B. Микулъшина.




выберите первую букву в названии статьи: А Б В Г Д Е Ж З И К Л М Н О П Р С Т У Ф Х Ц Ч Ш Щ Э Ю Я


Все новости



Новости компаний

Все новости


© ChemPort.Ru, MMII-MMXXIV
Контактная информация