новости бизнеса
компании и предприятия
нефтехимические компании
продукция / логистика
торговый центр
ChemIndex
новости науки
работа для химиков
химические выставки
лабораторное оборудование
химические реактивы
расширенный поиск
каталог ресурсов
электронный справочник
авторефераты
форум химиков
подписка / опросы
проекты / о нас


контакты
поиск
   

главная > справочник > химическая энциклопедия:

ГЛИКОЗИЛТРАНСФЕРАЗЫ


выберите первую букву в названии статьи: А Б В Г Д Е Ж З И К Л М Н О П Р С Т У Ф Х Ц Ч Ш Щ Э Ю Я

ГЛИКОЗИЛТРАНСФЕРАЗЫ, группа ферментов класса трансфераз. катализирующих перенос гликозильных групп на орто- и пирофосфорную кислоты, олиго- и полисахариды, Н2О или др. акцептор. Делятся на гексозил- и пентозилтрансферазы. Обладают строгой субстратной специфичностью по отношению к донору углевода и к конфигурации синтезируемой связи.

К гликозилтрансферазы, переносящим гликозильную группу только на Н3РО4 (т. наз. истинные фосфорилазы), относится, например, гликогенфосфорилаза, расщепляющая гликоген с образованием глюкозо-1-фосфата:

Фермент специфичен по отношению к 1 -> 4-глюкозидной связи. Существует в активной и неактивной формах. Содержит в кач-ве кофермента пиридоксальфосфат и состоит из 2 или 4 субъединиц (мол. м. каждой 92,5 тыс). Активность гликогенфосфорилазы регулируется внутриклеточными метаболитами: аденозинмонофосфат ее активирует, а АТФ и глюкозо-6-фосфат ингибируют. Гормональная регуляция активности фермента осуществляется адреналином и инсулином. действие адреналина сопровождается фосфорилированием и образованием активной гликогенфосфорилазы.

гликозилтрансферазы, катализирующие перенос остатка моносахарида на пирофосфорную кислоту, используют в кач-ве донора углевода нуклеозидмонофосфат (напр., аденозинмонофосфат) или ни-котинамидмононуклеотид. К таким гликозилтрансферазы относится, например, пирофосфорилаза, катализирующая перенос остатка сахара с образованием 5-фосфорибозил-1-пирофосфата.

Перенос гликозильных групп на олиго- и полисахариды осуществляется с использованием в кач-ве доноров нуклео-зиддифосфатсахаров. Напр., в образовании 1 ->4-гликозидной связи при синтезе гликогена и крахмала под действием гликогенсинтазы происходит перенос глюкозы с уридиндифосфатглюкозы. Этот фермент может фосфорилироваться, превращаясь в менее активную форму, которая активируется глюкозо-6-фосфатом.

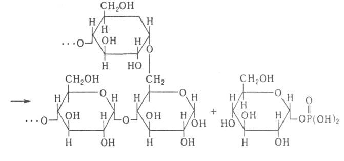
В синтезе и распаде разветвленных полисахаридов участвуют гликозилтрансферазы ветвления. Разветвление молекулы при синтезе гликогена обусловлено действием амило-1,4-> 1,6-трансглюкозилазы, переносящей остаток сахара из положения 4 в положение 6. В расщеплении участвует глюканветвящая гликозилтрансферазы (Q-фермент), которая переносит трисахаридные фрагменты из положения 4 в положение 6 и гидролитически расщепляет 1 -> 6-связи в точках ветвления.

Гетерополисахариды синтезируются путем последоват. действия ряда гликозилтрансферазы, переносящих определенные остатки моносахаридов.

Биол. значение гликозилтрансферазы связано с их участием в синтезе и распаде резервных полисахаридов (напр., гликогена), в образовании целлюлозы, веществ бактериальной клеточной стенки (напр., муреина), в синтезе протеогликанов (напр., гиалуроновой кислоты и гепарина), липопротеинов, гликопротеинов и др.

Лит.: Основы биохимии, пер. с англ., т. 2. М., 1981, с. 660-63; Диксон М., Уэбб Э., Ферменты, пер. с англ., т. 1, М., 1982. с. 315-17. П.Л. В.1ьфсоп.




выберите первую букву в названии статьи: А Б В Г Д Е Ж З И К Л М Н О П Р С Т У Ф Х Ц Ч Ш Щ Э Ю Я


Все новости



Новости компаний

Все новости


© ChemPort.Ru, MMII-MMXXIV
Контактная информация