новости бизнеса
компании и предприятия
нефтехимические компании
продукция / логистика
торговый центр
ChemIndex
новости науки
работа для химиков
химические выставки
лабораторное оборудование
химические реактивы
расширенный поиск
каталог ресурсов
электронный справочник
авторефераты
форум химиков
подписка / опросы
проекты / о нас


контакты
поиск
   

главная > справочник > химическая энциклопедия:

Гликолиз


выберите первую букву в названии статьи: А Б В Г Д Е Ж З И К Л М Н О П Р С Т У Ф Х Ц Ч Ш Щ Э Ю Я

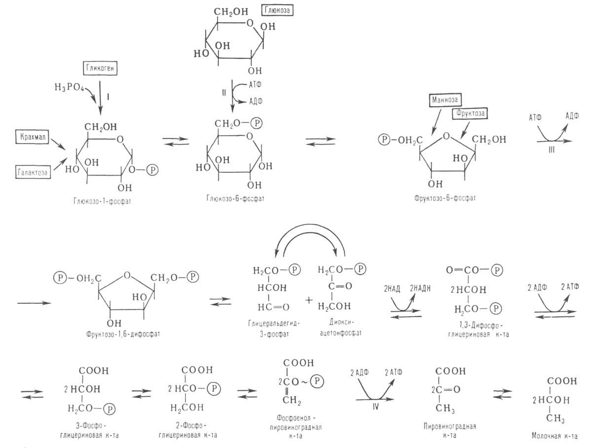
Гликолиз (от греч. glykys-сладкий и lysis - разложение, растворение, распад), анаэробное (без участия О2) негидролитическое расщепление углеводов (главным образом глюкозы) в цитоплазме под действием ферментов. сопровождающееся синтезом АТФ и заканчивающееся образованием молочной кислоты (см. рис.). Гликолиз одной молекулы глюкозы может быть выражен следующим уравнением:

где АДФ-аденозиндифосфат. Субстратами гликолиза кроме глюкозы могут быть другие моносахариды, а также полисахариды. В мышечной ткани, где основной субстрат гликолиза - гликоген, процесс начинается с реакции I и называют гликогенолизом. У растений субстратом для гликолиза может служить крахмал. Первые этапы гликолиза, спиртового и некоторых других видов брожения сходны.

Стадии, в которых осуществляются необратимые реакции (II-IV), играют существенную роль в регуляции скорости гликолиз. Наиболее важный регуляторный фермент-фосфофруктокиназа, катализирующая реакцию III; ее активность ингибируется АТФ, НАДН, лимонной и жирными кислотами, стимулируется АДФ и АМФ. Р-ции II и IV катализируются соотв. гексокиназой и пируваткиназой, активность которых регулируется адениловыми нуклеотидами, промежуточными продуктами гликолиза и цикла трикарбоновых кислот. У животных и человека в регуляции гликолиза принимают участие также гормоны.

Схема гликолиза. В одинарных рамках-субстраты гликолиза. АТФ -аденозинтрифосфат, АДФ-аденозиндифосфат, НАДН и НАД-соотв. восстановленная и окисленная формы никотинамидадениндинуклеотида, Р-остаток фосфорной кислоты, ~ -высокоэргическая связь.

В условиях недостаточности кислорода гликолиз - единственный процесс, поставляющий энергию для осуществления физиологических функций организма. В аэробных условиях гликолиз - первая стадия окислительного превращения углеводов в присутствии О2 пировиноградная кислота может подвергаться дальше окислительному декарбоксилированию, а образующаяся уксусная кислота в виде СН3С(О)КоА (КоА-остатоккофермента А) полностью окисляться до СО2 и воды в цикле трикарбоновых кислот.

Интенсивный гликолиз происходит в скелетных мышцах, где он поставляет энергию для мышечных сокращений, а также в печени, сердце, мозге животных и человека. В клетках осуществляется тонкая регуляция окислительного и анаэробного обмена. Подавление гликолиза дыханием в присутствии О2 (эффект П а с т е р а) обеспечивает клетке наиболее экономный механизм образования богатых энергией соединений. В тканях, где такой эффект отсутствует (например, в эмбриональных и опухолевых), гликолиз протекает очень активно. В некоторых тканях с интенсивным гликолизом наблюдается подавление тканевого дыхания (эффект Крабтри).

Гликолиз - простейшая форма биологического механизма аккумулирования энергии углеводов в АТФ. Считают, что он возник в период, когда в атмосфере Земли не было О2. При энергетически более выгодном аэробном окислении из одной молекулы глюкозы образуется 38 молекул АТФ.

Лит.: Мецлер Д., Биохимия, пер. с англ., т. 2, М., 1980, с. 335-38; Основы биохимии, пер. с англ., т. 2, М., 1981, с. 557-82; Страйер Л., Биохимия,пер. с англ., т. 2, М., 1985, с. 23-48, 115-38. ©Н. В. Гуляева.


выберите первую букву в названии статьи: А Б В Г Д Е Ж З И К Л М Н О П Р С Т У Ф Х Ц Ч Ш Щ Э Ю Я


Все новости



Новости компаний

Все новости


© ChemPort.Ru, MMII-MMXXIV
Контактная информация